М
Молодежь
К
Компьютеры-и-электроника
Д
Дом-и-сад
С
Стиль-и-уход-за-собой
П
Праздники-и-традиции
Т
Транспорт
П
Путешествия
С
Семейная-жизнь
Ф
Философия-и-религия
Б
Без категории
М
Мир-работы
Х
Хобби-и-рукоделие
И
Искусство-и-развлечения
В
Взаимоотношения
З
Здоровье
К
Кулинария-и-гостеприимство
Ф
Финансы-и-бизнес
П
Питомцы-и-животные
О
Образование
О
Образование-и-коммуникации
kristinakyzinae
kristinakyzinae
16.09.2021 11:17 •  Математика

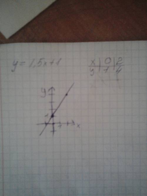
Постройте график линейной функции y=1,5+1

👇
Ответ:
nlenp6635Alena0lo
nlenp6635Alena0lo
16.09.2021
Х взяла любой. Решение в уме, но если хочешь то попробуй подставить
Постройте график линейной функции y=1,5+1
4,5(52 оценок)
Открыть все ответы
Ответ:
1Маша1231111
1Маша1231111
16.09.2021
1)1/3 = 7/212/3 = 14/21Между 7/21 и 14/21 находятся следующие дроби:8/21; 9/21; 10/21; 11/21; 12/21; 13/21.Наименьшей дробью, у которой числитель кратен 3, является 9/21.9/21 = 3/7.ответ: 3/7. 2) 1/2 = 22/443/4 = 33/44Между 22/44 и 33/44 находятся следующие дроби:23/44; 24/44; 25/44; 26/44; 26/44; 28/44; 29/44; 30/44; 31/44; 32/44.Наименьшей дробью, у которой числитель кратен 4, является 24/44.24/44 = 6/11ответ: 6/11.
3)1/3 = 8/242/3 = 16/24Между 8/24 и 16/24 находятся следующие дроби:9/24; 10/24; 11/24; 12/24; 13/24; 14/24; 15/24.Наименьшей дробью, у которой числитель кратен 3, является 9/24.9/24 = 3/8ответ: 3/8.
4,6(5 оценок)
Ответ:
shcoll15
shcoll15
16.09.2021
1. Если Саша не дошёл до конца дистанции 0,2 её длины, значит, длина дистанции (120:0,8)=150 м. Во второй раз всю длину дистанции и ещё 0,1 её длины, то есть 1,1 дистанции. Выходит, он оценил дистанцию в (150*1,1)=165 шагов. ответ - Г. \\ 2. Скорость катера была 29632 м/ч; это равняется (29632:1000) км/ч, то есть 29,632 км/ч, что приблизительно равно 30 км/ч . ответ - Б. \\ 7.Если составить схему, видно, что с левого края стояли 9 женщин, а дальше мужчины и женщины чередовались. Выходит также, что последним стоял мужчина. Таким образом, мужчин было на 1 меньше, чем женщин.((50-9)+1):2=29 мужчин. ответ-В. \\ 8. Всего в олимпиадах участвовало (80-32)=48 человек. Из них в обеих олимпиадах участвовало ((37+33)-48)=22 ученика. ответ - Б. \\ 11.Может. \\ 12. 2016 год - високосный. Если 1 января этого года - пятница, то в нём 52 полные недели и 2 дня, из которых один - воскресенье. Значит, в 2016 г 53 воскресенья. Если убрать понедельники, то останется (366-52)=314 дней, в которых 52 полные недели и 2 дня, один из которых - воскресенье. В таком году тоже 53 воскресенья, хотя по-нашему их 45. Вероятность выпадения будет (53+45):7=14, то есть 14 раз в году. \\ 14.а. Нет, не могут. Б. Первым начал Петя. \\ простите, что не всё :( К сожалению, некоторые задачи решить не смогла.
4,4(76 оценок)
Новые ответы от MOGZ: Математика
logo
Вход Регистрация
Что ты хочешь узнать?
Спроси Mozg
Открыть лучший ответ