М
Молодежь
К
Компьютеры-и-электроника
Д
Дом-и-сад
С
Стиль-и-уход-за-собой
П
Праздники-и-традиции
Т
Транспорт
П
Путешествия
С
Семейная-жизнь
Ф
Философия-и-религия
Б
Без категории
М
Мир-работы
Х
Хобби-и-рукоделие
И
Искусство-и-развлечения
В
Взаимоотношения
З
Здоровье
К
Кулинария-и-гостеприимство
Ф
Финансы-и-бизнес
П
Питомцы-и-животные
О
Образование
О
Образование-и-коммуникации
ns151199
ns151199
28.01.2020 07:15 •  Математика

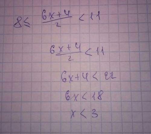
Решить нер-во(двойное), где / дробь : 8 меньше либо равно 6х+4/2 меньше 11

👇
Ответ:
antonzagarinp00ule
antonzagarinp00ule
28.01.2020
---------------------
Решить нер-во(двойное), где / дробь : 8 меньше либо равно 6х+4/2 меньше 11
4,4(65 оценок)
Ответ:
Subaruworld
Subaruworld
28.01.2020
8≤(6х+4):2∠11
(6х+4):2 если х=2 то
16:2=8
если х=3, то 
(18+4):2=11
ответ: х=2
4,8(84 оценок)
Открыть все ответы
Ответ:
аян45
аян45
28.01.2020
Каждый человек – единственный и неповторимый. Каждый имеет свои привычки, склонности и пристрастия. Но человек живет в обществе, состоящем из других столь же неповторимых индивидов. Как же им следует сосуществовать в одном доме, на одной улице, в одном городе, в одной стране и на одной Земле?
Мне иногда кажется, что мир сходит с ума, что духовное начало растворяется в хаосе современной жизни, что люди становятся озлобленными, равнодушными, жестокими, что общество превращается в удивительно бездуховное объединение людей, теряет нравственные ценности: совестливость, порядочность, сострадание, жалость к слабым, обездоленным, беззащитным. Это, наверное, потому что постоянным спутником человечества стал терроризм.
4,7(41 оценок)
Ответ:
Zandrew2000
Zandrew2000
28.01.2020
Каждый человек – единственный и неповторимый. Каждый имеет свои привычки, склонности и пристрастия. Но человек живет в обществе, состоящем из других столь же неповторимых индивидов. Как же им следует сосуществовать в одном доме, на одной улице, в одном городе, в одной стране и на одной Земле?
Мне иногда кажется, что мир сходит с ума, что духовное начало растворяется в хаосе современной жизни, что люди становятся озлобленными, равнодушными, жестокими, что общество превращается в удивительно бездуховное объединение людей, теряет нравственные ценности: совестливость, порядочность, сострадание, жалость к слабым, обездоленным, беззащитным. Это, наверное, потому что постоянным спутником человечества стал терроризм.
4,7(8 оценок)
Новые ответы от MOGZ: Математика
logo
Вход Регистрация
Что ты хочешь узнать?
Спроси Mozg
Открыть лучший ответ