М
Молодежь
К
Компьютеры-и-электроника
Д
Дом-и-сад
С
Стиль-и-уход-за-собой
П
Праздники-и-традиции
Т
Транспорт
П
Путешествия
С
Семейная-жизнь
Ф
Философия-и-религия
Б
Без категории
М
Мир-работы
Х
Хобби-и-рукоделие
И
Искусство-и-развлечения
В
Взаимоотношения
З
Здоровье
К
Кулинария-и-гостеприимство
Ф
Финансы-и-бизнес
П
Питомцы-и-животные
О
Образование
О
Образование-и-коммуникации
cheacher
cheacher
29.11.2020 12:20 •  Математика

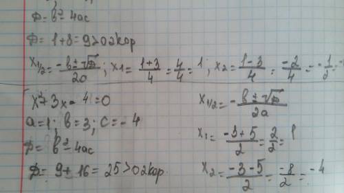
3х в квадрате+48-1=0 5х в квадрате-7х+2=0 2х в квадрате-х-1=0

👇
Ответ:
maksi7
maksi7
29.11.2020
Ну, вот я попыталя первое не получилось решить. Вот еще 1 пример
3х в квадрате+48-1=0 5х в квадрате-7х+2=0 2х в квадрате-х-1=0
3х в квадрате+48-1=0 5х в квадрате-7х+2=0 2х в квадрате-х-1=0
4,4(42 оценок)
Открыть все ответы
Ответ:
Mihan4ik
Mihan4ik
29.11.2020
Б. в плац.в. - 655 руб.           < |
Б. в куп.в. - ? руб.,в 3 р. б.,чем |
Объясняю,как решить задачу.
Сначало нужно узнать сколько стоит один билет в купейный вагон.Раз нам известно что ОДИН билет в плацкартном вагоне стоит 655 руб.,а в купейный вагон в 3 раза дороже (больше),то соответственно так и находим.
1)655×3=1965(руб.)стоит один билет в купейном вагоне.
А теперь нужно узнать сколько рублей заплатила группа.Нам известно что в группе туристов 8 человек,а один билет в купейный вагон стоит 1965 рублей,значит находим действием ×.
2)1965×8=15720(руб.)-заплатила вся группа.
Теперь нужно узнать сколько группа  заплатила за билеты в плацкартном вагоне.
3)655×8=5240(руб.)-группа заплатила  за билеты в плацкартном вагоне.
А теперь отвечаем на вопрос задачи.
4)15720-5240=на 10480(руб.)-группа заплатила за билеты в купейный вагон больше,чем за билеты в плацкартный вагон.
ответ:на 10480 рублей группа заплатила за билеты в купейныйц вагон больше,чем за билеты в плацкартный вагон.
4,6(96 оценок)
Ответ:
гагарин9
гагарин9
29.11.2020
Б. в плац.в. - 655 руб.           < |
Б. в куп.в. - ? руб.,в 3 р. б.,чем |
Объясняю,как решить задачу.
Сначало нужно узнать сколько стоит один билет в купейный вагон.Раз нам известно что ОДИН билет в плацкартном вагоне стоит 655 руб.,а в купейный вагон в 3 раза дороже (больше),то соответственно так и находим.
1)655×3=1965(руб.)стоит один билет в купейном вагоне.
А теперь нужно узнать сколько рублей заплатила группа.Нам известно что в группе туристов 8 человек,а один билет в купейный вагон стоит 1965 рублей,значит находим действием ×.
2)1965×8=15720(руб.)-заплатила вся группа.
Теперь нужно узнать сколько группа  заплатила за билеты в плацкартном вагоне.
3)655×8=5240(руб.)-группа заплатила  за билеты в плацкартном вагоне.
А теперь отвечаем на вопрос задачи.
4)15720-5240=на 10480(руб.)-группа заплатила за билеты в купейный вагон больше,чем за билеты в плацкартный вагон.
ответ:на 10480 рублей группа заплатила за билеты в купейныйц вагон больше,чем за билеты в плацкартный вагон.
4,6(8 оценок)
Это интересно:
Новые ответы от MOGZ: Математика
logo
Вход Регистрация
Что ты хочешь узнать?
Спроси Mozg
Открыть лучший ответ