М
Молодежь
К
Компьютеры-и-электроника
Д
Дом-и-сад
С
Стиль-и-уход-за-собой
П
Праздники-и-традиции
Т
Транспорт
П
Путешествия
С
Семейная-жизнь
Ф
Философия-и-религия
Б
Без категории
М
Мир-работы
Х
Хобби-и-рукоделие
И
Искусство-и-развлечения
В
Взаимоотношения
З
Здоровье
К
Кулинария-и-гостеприимство
Ф
Финансы-и-бизнес
П
Питомцы-и-животные
О
Образование
О
Образование-и-коммуникации
оксана731
оксана731
27.05.2023 11:07 •  Математика

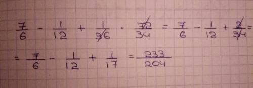
7/6-1/12+1/36*72/34 решите эти дроби ლ(╹◡╹ლ)(#^.^#)

👇
Ответ:
Jamilya28
Jamilya28
27.05.2023
Вот.     ‌‌‍‍‎‏    ‌‌‍‍‎‏    ‌‌‍‍‎‏    ‌‌‍‍‎‏
7/6-1/12+1/36*72/34 решите эти дроби ლ(╹◡╹ლ)(#^.^#)
4,7(24 оценок)
Ответ:
svetskazka1978
svetskazka1978
27.05.2023
\frac{7}{6}-\frac{1}{12}+\frac{1}{36}*\frac{72}{34}=\frac{7}{6}-\frac{1}{12}+\frac{1}{17}=\frac{238-17+12}{204}=\frac{233}{204}
4,5(97 оценок)
Открыть все ответы
Ответ:
Andrebro9
Andrebro9
27.05.2023
Пусть Х км/ч- собственная скорость лодки, тогда (Х+2,4)-скорость по течениюа (Х-2,4) скорость против течения, составим уравнение (Х+2,4)*1,3= (Х-2,4)*1,9, решаем уравнение и получим1,3х+3,12= 1,9х-4,561,3х-1,9х=-4,56-3,12 или -0,6=-7,68 отсюда х= 12,48 
или так:
 Х - скорость лодки. 
Значит Х + 2,4 скорость от А до В по течению, Х - 2,4 скорость против течения 
Расстояние от А до В - величина постоянная. 
(Х+2,4)1,3 расстояние (скорость умножить на время) 
(Х-2,4)1,9 также расстояние 

(Х+2,4)1,3=(Х-2,4)1,9 
1,3Х+3,12=1,9Х-4,56 
1,9Х-1,3Х=4,56+3,12 
0,6Х=7,68 
Х= 12,8
4,8(37 оценок)
Ответ:
Angelina937
Angelina937
27.05.2023
7251:/ 5                                                                                                 5     / 1 4 5  0                                                                                                    22                                                                                                                     20                                                                                                                      25                                                                                                                     25                                                                                                                        1(остаток)
4,6(49 оценок)
Это интересно:
Новые ответы от MOGZ: Математика
logo
Вход Регистрация
Что ты хочешь узнать?
Спроси Mozg
Открыть лучший ответ