М
Молодежь
К
Компьютеры-и-электроника
Д
Дом-и-сад
С
Стиль-и-уход-за-собой
П
Праздники-и-традиции
Т
Транспорт
П
Путешествия
С
Семейная-жизнь
Ф
Философия-и-религия
Б
Без категории
М
Мир-работы
Х
Хобби-и-рукоделие
И
Искусство-и-развлечения
В
Взаимоотношения
З
Здоровье
К
Кулинария-и-гостеприимство
Ф
Финансы-и-бизнес
П
Питомцы-и-животные
О
Образование
О
Образование-и-коммуникации
юлианна2018
юлианна2018
25.07.2021 15:52 •  Математика

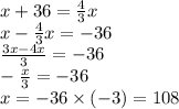
Число увеличили на 36, и оно составило 4/3  от исходного числа. найдите исходное число.

👇
Ответ:
messageman1
messageman1
25.07.2021
x + 36 = \frac{4}{3}x \\ x - \frac{4}{3} x = - 36 \\ \frac{3x - 4x}{3} = - 36 \\ - \frac{x}{3} = - 36 \\ x = - 36 \times ( - 3) = 108
4,6(62 оценок)
Открыть все ответы
Ответ:
irina030270
irina030270
25.07.2021
Лыжная подготовка - обязательный минимум занятий на лыжах по физическому воспитанию в общеобразовательных школах, профессионально-технических училищах, средних и высших учебных заведениях различного профиля, в Вооруженных Силах страны; рекомендуется в качестве спортивного развлечения включать в занятия по физическому воспитанию в дошкольных учреждениях и передвижение на лыжах. Лыжная подготовка проводится на основании государственных программ и обеспечивает обучение детей, подростков, юношей и всего взрослого населения страны технике передвижения на лыжах, выполнение учебных и контрольных нормативов, в том числе и нормативов любого комплекса, характеризующего физическую подготовленность всех возрастных групп страны. В процессе лыжной подготовки приобретается обязательный минимум знаний по основам техники передвижения на лыжах, методов развития общей работо подготовки к соревнованиям и т. д. ; прививаются навыки самостоятельных занятий и инструкторской практики.
Лыжный спорт - один из самых массовых видов спорта, культивируемых в Российской Федерации. Наибольшей популярностью в силу доступности и характера воздействия на организм пользуются лыжные гонки на различные дистанции.
Главная задача занятий лыжным спортом - достижение физического совершенства и наиболее высоких спортивных результатов, что и является основным отличием спорта от других видов занятий лыжами.
4,5(55 оценок)
Ответ:
faiarina2016
faiarina2016
25.07.2021
Дополняем:на ферме содержали 22 коровы,а лошадей на 7 меньше.Для каждой коровы подготовили 52 ц. сена,а для каждой лошади 48 ц. сена.Сколько лошадей на ферме?. Сколько заготовили ц.сена всего?Сколько заготовили ц. сена для коров?,для лошадей?.
1.)22-7=15(шт.)-лошадей на ферме.
2.)22*52=1144(ц.)-сена для коров.
3.)15*48=720(ц.)-сена для лошадей.
4.)1144+720=1864(ц.)-сена заготовили всего.
ответ:1144 (ц.) сена заготовили для коров,на ферме 15 (шт.) лошадей,720 (ц.) заготовили сена для лошадей,всего заготовили сена-1864.
Всё!)
4,7(79 оценок)
Новые ответы от MOGZ: Математика
logo
Вход Регистрация
Что ты хочешь узнать?
Спроси Mozg
Открыть лучший ответ