М
Молодежь
К
Компьютеры-и-электроника
Д
Дом-и-сад
С
Стиль-и-уход-за-собой
П
Праздники-и-традиции
Т
Транспорт
П
Путешествия
С
Семейная-жизнь
Ф
Философия-и-религия
Б
Без категории
М
Мир-работы
Х
Хобби-и-рукоделие
И
Искусство-и-развлечения
В
Взаимоотношения
З
Здоровье
К
Кулинария-и-гостеприимство
Ф
Финансы-и-бизнес
П
Питомцы-и-животные
О
Образование
О
Образование-и-коммуникации

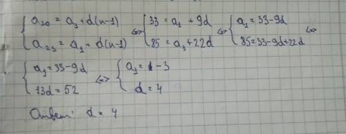
Варифметической прогрессии (ан) известно что а10=33 а23==85 найдите разность прогрессии, (нужно только через систему )

👇
Ответ:
muratov20011
muratov20011
29.03.2021
ответ смотри на фото.
Варифметической прогрессии (ан) известно что а10=33 а23==85 найдите разность прогрессии, (нужно толь
4,5(34 оценок)
Открыть все ответы
Ответ:
Ravshanbekovna
Ravshanbekovna
29.03.2021
1.
Краткая запись
Корзина- 6 кг помидоров
Ящик - ?, в 2 раза Б, чем в корзине.
Всего-?
Если заменить
Корзина- 6 кг
Ящик -?, в 2 раза М, чем в корзине
Всего - ?
Решение:
6*2= 12 (кг) - в ящике
6+12=18 (кг) - всего
Если заменить слово БОЛЬШЕ на МЕНЬШЕ, то
6÷2=3 (кг)- в ящике
3+6= 9 (кг) - всего
Задача 2
Краткая запись
1 банка - 15 кг меда
5 банок - ?
Сколько банок потребуется, чтобы разложить меда в 2 раза Б?
(Не какое данное убирать нельзя)
Решение:
15*5=75 (кг) - меда в 5 банках
15*2= 30 (кг) - меда в два раза Б
30÷5= 6 банок
4,5(5 оценок)
Ответ:
yana07072005
yana07072005
29.03.2021

Изобретателю кастрюли-кашеварки многие хозяюшки с удовольствием поставили бы памятник, потому как его уникальное и простейшее изобретение облегчило жизнь многим мамочкам! Суть состоит в устройстве этой двойной кастрюли. Одна часть вставляется в другую, а пространство между заполняется водой. Благодаря варке на такой «водяной бане» каша не пригорает и не выкипает, потому что температура кипения воды не может превысить 100 градусов. Так и пастеризовать молоко можно, не кипятя его и сохраняя полезные свойства. При этом каждую из частей кашеварки можно использовать как отдельную кастрюлю.

4,4(71 оценок)
Это интересно:
Новые ответы от MOGZ: Математика
logo
Вход Регистрация
Что ты хочешь узнать?
Спроси Mozg
Открыть лучший ответ