М
Молодежь
К
Компьютеры-и-электроника
Д
Дом-и-сад
С
Стиль-и-уход-за-собой
П
Праздники-и-традиции
Т
Транспорт
П
Путешествия
С
Семейная-жизнь
Ф
Философия-и-религия
Б
Без категории
М
Мир-работы
Х
Хобби-и-рукоделие
И
Искусство-и-развлечения
В
Взаимоотношения
З
Здоровье
К
Кулинария-и-гостеприимство
Ф
Финансы-и-бизнес
П
Питомцы-и-животные
О
Образование
О
Образование-и-коммуникации

{-6(4-х)+4(у+5)=2 {11 (1+х)-9(7-у)=-36

👇
Ответ:
Kaffidr0y
Kaffidr0y
17.10.2021
- 24 + 6x + 4y + 20 = 2 \\ 11 + 11x - 63 + 9y = - 36 \\
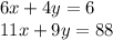
6x + 4y = 6 \\ 11x + 9y = 88
4y = 1 \\ 9y = 8
4,4(36 оценок)
Ответ:
LilNooqas
LilNooqas
17.10.2021
Решение во вложении
{-6(4-х)+4(у+5)=2 {11 (1+х)-9(7-у)=-36
4,6(20 оценок)
Открыть все ответы
Ответ:
ксения6538
ксения6538
17.10.2021
Когда звонишь в 112, тебя связывают с каким-либо тебе нужным..оператором. (полиция, скорая, мчс, газовая служба и т.д.). РСЧС сразу же контролирует это, записывает, сообщает всем подразделениям. Если где-то надвигается ураган (Сильный порыв ветра), или наводнение. Вы сразу звоните в службу Все опера (оперативники, слежба быстрого реагирования) выезжают к месту ЧС. РСЧС также связаны. Они докладывают информацию, что и как. Обстановку. Решают, куда направить народ, обезопасить их. Накормить, напоить и предоставить жилье. 
Также и с техногенным характером. 
4,8(56 оценок)
Ответ:
remizov011
remizov011
17.10.2021
Причины возникновения Пристрастие распространяется среди всех слоев населения, вне зависимости от социального положения и возраста. Подростковая зависимость В эту группу входят пациенты отроческого, юношеского и начального взрослого возраста. Возрастные рамки от 14 до 24 лет. Это студенты, школьники, молодые люди службу в армии. Причины подростк: Не к адаптации к изменившимся условиям окружающего мира. Незавершенность разрыва между матерью и ребёнком. Несостоявшаяся индивидуализация. Поиск путей освобождения от физического и эмоционального благополучия. Скука, разочарование, тревога, одиночество, депрессия. Мотив эйфории, замаскированный социальным протестом, модой. Низкая информированность о вреде наркотиков. Любопытство.
4,5(72 оценок)
Это интересно:
Новые ответы от MOGZ: Математика
logo
Вход Регистрация
Что ты хочешь узнать?
Спроси Mozg
Открыть лучший ответ