М
Молодежь
К
Компьютеры-и-электроника
Д
Дом-и-сад
С
Стиль-и-уход-за-собой
П
Праздники-и-традиции
Т
Транспорт
П
Путешествия
С
Семейная-жизнь
Ф
Философия-и-религия
Б
Без категории
М
Мир-работы
Х
Хобби-и-рукоделие
И
Искусство-и-развлечения
В
Взаимоотношения
З
Здоровье
К
Кулинария-и-гостеприимство
Ф
Финансы-и-бизнес
П
Питомцы-и-животные
О
Образование
О
Образование-и-коммуникации
kayryakdmitriyp075gy
kayryakdmitriyp075gy
24.02.2020 23:29 •  Математика

Из первой трубы пустой басейн наполняют водой на 40 мин быстрее, чем из второй. сколько времени необходимо для наполнения пустого басейна из первой трубы , если из обеих труб пустой басейн наполняют за 21 мин ? ( считайте , что скорости наполнения бассейна водой из каждой трубы постоянный )

👇
Ответ:
robka2029
robka2029
24.02.2020
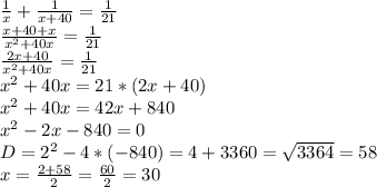
Пусть первая труба наполняет за х мин
тогда вторая за (х+40)мин
а вместе за 21мин
получается что производительность первой трубы будет 1/x часть бассейна за одну минуту
а второй трубы производительность 1/(x+40) часть бассейна за одну минуту.
и общая производительность 1/21 часть бассейна за одну минуту

\frac{1}{x} + \frac{1}{x+40} = \frac{1}{21} \\ \frac{x+40+x}{ x^{2} +40x} = \frac{1}{21} \\ \frac{2x+40}{ x^{2} +40x} = \frac{1}{21} \\ x^{2} +40x=21*(2x+40) \\ x^{2} +40x=42x+840 \\ x^{2} -2x-840=0 \\ D= 2^{2} -4*(-840)=4+3360= \sqrt{3364} =58 \\ x = \frac{2+58}{2} = \frac{60}{2} =30
30мин столько времени необходимо для наполнения пустого бассейна из первой трубы 
4,4(23 оценок)
Открыть все ответы
Ответ:
Обозначим ВС = а, АВ = с, АС = в.
Используем уравнение для нахождения длины медианы:
m_a= \frac{1}{2} \sqrt{2b^2+2c^2-a^2} ..
Неизвестные стороны обозначим: АВ = х, ВС = у.
Подставим известные данные в виде системы уравнений:
\left \{ {{ \frac{1}{2} \sqrt{100+2x^2-y^2} =9} \atop { \frac{1}{2} \sqrt{2y^2+100-x^2} =12}} \right.
Приведя к общему знаменателю и возведя в квадрат обе части уравнений, получаем:\left \{ {{-x^2+2y^2=476} \atop {2x^2-y^2=224}} \right.
Отсюда получаем: х² = 308,  х = √308 = 2√77,
                              у² = 392,  у = √392 = 14√2.

Найдя стороны треугольника по теореме Герона находим его площадь:
S=√(p(p-a)(p-b)(p-c)).
Здесь р - полупериметр, р =  23.674459.
S = √7684 =  87.658428.
4,4(73 оценок)
Ответ:
konuj
konuj
24.02.2020
Я решил так: Домножаем неравенство на √(2)/2.
\frac{ \sqrt{2} }{2} cosx- \frac{ \sqrt{2} }{2} sinx+cos2x \geq 0 \\ 
cos( \frac{ \pi }{4} )cosx-sin( \frac{ \pi }{4} )sinx+cos2x \geq 0 \\ 
cos( \frac{ \pi }{4}+x)+cos2x \geq 0 \\ 
2cos( \frac{ \frac{ \pi }{4}+3x}{2} )cos( \frac{ \frac{ \pi }{4}-x}{2} ) \geq 0

Теперь ищем нули.
\frac{ \frac{ \pi }{4}+3x}{2} =\frac{ \pi }{2} + \pi n \\ 
x=\frac{ \pi }{4}+ \frac{2 \pi }{3} n \\ 
\frac{ \frac{ \pi }{4}-x}{2}=\frac{ \pi }{2} + \pi k \\ 
x= \frac{5 \pi }{4} +2 \pi k \\ 

n∈Z, k∈Z
Теперь нужно применить метод интервалов. С второй серией корней все ясно, просто отмечаем на триг окружности точку 5pi/4. А как быть с первой серией? Сделаем так, отметим ВСЕ точки,которые дает эта серия, на круге. Подставим k=-1, получим -5pi/12 (эта точка лежит между 3pi/2 и 2pi. 
При k =0: pi/4
При k=1: 11pi/2 (между pi/2 и 5pi/4). Все, если мы теперь возьмем k=2, то мы опять попадем в точку 19pi/12 находящуюся на круге там же где -5pi/12. Мы замкнули круг.
Теперь подставляем значение x из любого промежутка, находим знак функции на этом интервале, а дальше знаки чередуем.
Получаем как раз указанный тобой ответ. 
4,6(95 оценок)
Это интересно:
Новые ответы от MOGZ: Математика
Полный доступ к MOGZ
Живи умнее Безлимитный доступ к MOGZ Оформи подписку
logo
Вход Регистрация
Что ты хочешь узнать?
Спроси Mozg
Открыть лучший ответ