М
Молодежь
К
Компьютеры-и-электроника
Д
Дом-и-сад
С
Стиль-и-уход-за-собой
П
Праздники-и-традиции
Т
Транспорт
П
Путешествия
С
Семейная-жизнь
Ф
Философия-и-религия
Б
Без категории
М
Мир-работы
Х
Хобби-и-рукоделие
И
Искусство-и-развлечения
В
Взаимоотношения
З
Здоровье
К
Кулинария-и-гостеприимство
Ф
Финансы-и-бизнес
П
Питомцы-и-животные
О
Образование
О
Образование-и-коммуникации
MUSIC555
MUSIC555
10.06.2021 15:11 •  Математика

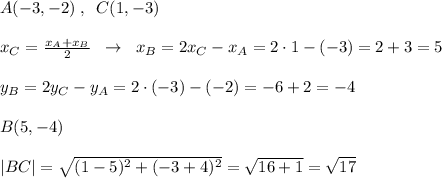
Точка с(1; -3) является серединой отрезка ab найдите длину отрезка bc если a (-3; -2)

👇
Ответ:
maks722
maks722
10.06.2021
A(-3,-2)\; ,\; \; C(1,-3)\\\\x_{C}= \frac{x_{A}+x_{B}}{2}\; \; \to \; \; x_{B}=2x_{C}-x_{A}=2\cdot 1-(-3)=2+3=5\\\\y_{B}=2y_{C}-y_{A}=2\cdot (-3)-(-2)=-6+2=-4\\\\B(5,-4)\\\\|BC|=\sqrt{(1-5)^2+(-3+4)^2}=\sqrt{16+1}=\sqrt{17}
4,6(97 оценок)
Открыть все ответы
Ответ:
Ckorpid
Ckorpid
10.06.2021
1.32+27=59км/ч- скорость сближения
354-59*2=236км- будет через 2 часа
354/59= 6ч- через столько встретятся
2. 1)68+16=84(км/ч)-скорость второго автомобиля;
2)84+68=152(км/ч)-скорость первого и второго автомобиля;
3)456/152=3(ч)
ответ: они встретятся через 3 часа.
3.1)12+18=30(км/ч)-проехали 2 велосипедиста.
2)30*2=60(км)-расстояние.
ответ:через 2 часа расстояние между велосипедистами стало 60 км.

1) 27:3=  9 (км/ч) - скорость сближения
2) 9-4=5 (км/ч) - скорость 2 пешехода


1) 4*3=12 (км пешеход
2) 27-12=15 (км пешеход
3) 15:3= 5 (км/ч) - скорость 2 пешехода
удобней, так как он более рациональный
5 задача.
если в первый день турист проехал 52% пути, то во второй день:100%-52%=48%
336*100:48=700 км - весь путь
700*52:100=364 км - путь в первый день
4,7(68 оценок)
Ответ:
lourln
lourln
10.06.2021
1) Сравним коэффициенты 3/4 и 1/3 приведём дроби к одному знаменателю
9/12 > 4/12  Если мы умножим дроби на положительное число, то знак неравенства не изменится , если на отрицательное число, то изменится на противоположный. У нас при умножении на а знак не изменился, значит а> 0

2)0,8а> 3а. Сравним 0,8 и 3, 0,8<3 , а у нас знак больше, значит мы умножили на отрицательное число поэтому а<0
3)-5а>2а , сравним -5<2 , а у нас знак сменился на противоположный, значит а<0
4)-0,7а<-1,2а                  -0,7>-1,2  При умножении на а знак неравенства поменялся на противоположный, значит а<0
4,7(62 оценок)
Это интересно:
Новые ответы от MOGZ: Математика
logo
Вход Регистрация
Что ты хочешь узнать?
Спроси Mozg
Открыть лучший ответ