М
Молодежь
К
Компьютеры-и-электроника
Д
Дом-и-сад
С
Стиль-и-уход-за-собой
П
Праздники-и-традиции
Т
Транспорт
П
Путешествия
С
Семейная-жизнь
Ф
Философия-и-религия
Б
Без категории
М
Мир-работы
Х
Хобби-и-рукоделие
И
Искусство-и-развлечения
В
Взаимоотношения
З
Здоровье
К
Кулинария-и-гостеприимство
Ф
Финансы-и-бизнес
П
Питомцы-и-животные
О
Образование
О
Образование-и-коммуникации
briliant2
briliant2
05.06.2020 06:18 •  Математика

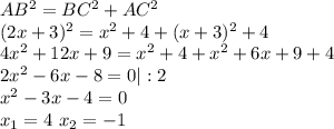
Впрямоугольном треугольнике высота h делит гипотенузу на отрезки, разность длин которых равна 3см. найти эти отрезки, если высота h=2см

👇
Ответ:
Zlyka11
Zlyka11
05.06.2020
AB^2=BC^2+AC^2\\(2x+3)^2=x^2+4+(x+3)^2+4\\4x^2+12x+9=x^2+4+x^2+6x+9+4\\2x^2-6x-8=0|:2\\x^2-3x-4=0\\x_1=4\ x_2=-1
Отрицательной длины быть не может
4 см - длина одного отрезка
7 см - длина второго отрезка
Впрямоугольном треугольнике высота h делит гипотенузу на отрезки, разность длин которых равна 3см. н
4,8(35 оценок)
Открыть все ответы
Ответ:
TkAl06
TkAl06
05.06.2020
Дятлов называют не только лесными докторами, но и незаменимыми специалистами. и это правильно. они действительно лечат леса и действительно проводят работу, которую никто, кроме них, сделать не может. в наших лесах живет несколько сот видов жуков-дровосеков и короедов — злейших врагов деревьев. (мы о них еще поговорим потом подробнее. ) иногда на одном дереве скапливается более десяти тысяч таких жуков, и, если вовремя не подоспеет дятел, дерево погибнет. но бывает, дерево уже спасти невозможно, а дятел продолжает упорно трудиться. он будто знает, что, погубив дерево, вредители переберутся на другое, потом на третье, и количество жуков будет все время увеличиваться.. и если короеды и дровосеки до сих пор не уничтожили все наши леса, то в этом немалая заслуга дятлов. да, именно дятлов. они не просто уничтожают жуков и их личинки, они достают их оттуда, откуда никто не может достать.
4,4(63 оценок)
Ответ:
lover3
lover3
05.06.2020

темы и цели урока.

- Определим тему урока. Игра «Найди лишнее». (слайд)

28, 12, 312, 44, 35

- Что лишнее? (312) Почему? (оно трёхзначное)

- Определите тему урока. (ответы детей)

- Правильно, тема нашего урока «Трёхзначные числа».(слайд)

- Определим цель нашего урока.

Найдите соответствие разрядных слагаемых с моделью числа, в котором 4с. 2д. 6ед. Проверьте. (слайд)

Какое получили число? (426) – оно трёхзначное.

Найдите соответствие разрядных слагаемых с моделью числа, в котором 1с. 3ед. Проверьте. (слайд)

Какое получили число? (103) – оно трёхзначное.

Найдите соответствие разрядных слагаемых с моделью числа, в котором 2с. 4д. Проверьте. (слайд)

Какое получили число? (240) – оно трёхзначное.

- Попробуйте записать эти числа.

-Написание каких чисел у вас вызвало затруднение? (ответы детей)

- Определите цель урока. (ответы детей)

- Цель урока: научиться читать и записывать числа, в которых отсутствует один из разрядов.(слайд)

Открытие нового знания.

Внимание! Перед вами таблица. (слайд

4,6(19 оценок)
Новые ответы от MOGZ: Математика
logo
Вход Регистрация
Что ты хочешь узнать?
Спроси Mozg
Открыть лучший ответ