Вход
Регистрация
Спроси Mozg AI
М
Молодежь
К
Компьютеры-и-электроника
Д
Дом-и-сад
С
Стиль-и-уход-за-собой
П
Праздники-и-традиции
Т
Транспорт
П
Путешествия
С
Семейная-жизнь
Ф
Философия-и-религия
Б
Без категории
М
Мир-работы
Х
Хобби-и-рукоделие
И
Искусство-и-развлечения
В
Взаимоотношения
З
Здоровье
К
Кулинария-и-гостеприимство
Ф
Финансы-и-бизнес
П
Питомцы-и-животные
О
Образование
О
Образование-и-коммуникации
.....больше.....
..меньше..
GHTU
11.11.2021 07:44 •
Математика
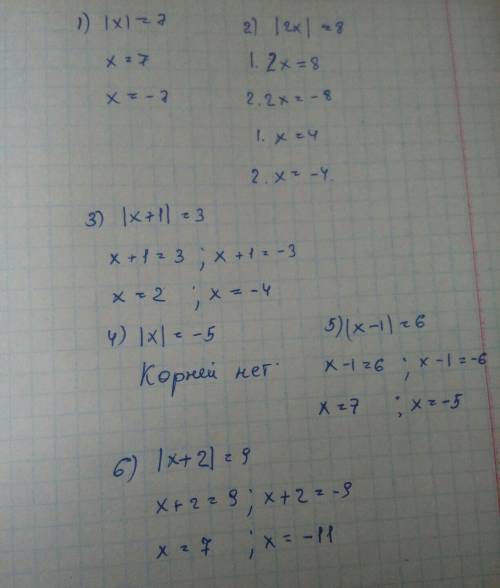
Решите уравнение: 1) |х|=7 2)|2х|=8 3) |х+1|=3 4) |х|=-5 5)|х-1|=6 6) |х+2|=9
👇
Увидеть ответ
Ответ:
workout7774
11.11.2021
Вот ответ. ссссооооо
4,5
(87 оценок)
Ответ:
dmitriq20061
11.11.2021
Х+1=3
х+1=-3
х=2; х= -4
4). |х|= -5
5). (х-1)=6
4,7
(39 оценок)
Открыть все ответы
Ответ:
ekaterina9919
11.11.2021
6/7 - 9/14 = 12/14 - 9/14 = 3/14
Общий знаменатель 14
6/7 = (6*2)/(7*2) = 12/14 - доп. множ. 2
9/20 - 5/12 = 27/60 - 25/60 = 2/60 = 1/30
Общий знаменатель 60
9/20 = (9*3)/(20*3) = 27/60 - доп. множ. 3
5/12 = (5*5)/(12*5) = 25/60 - доп. множ. 5
2/60 = (2:2)/(60:2) = 1/30 - сократили на 2
5/9 - 3/8 = 40/72 - 27/72 = 13/72
Общий знаменатель 72
5/9 = (5*8)/(9*8) = 40/72 - доп. множ. 8
3/8 = (3*9)/(8*9) = 27/72 - доп. множ. 9
7/8 - 1/45 = 315/360 - 8/360 = 307/360
Общий знаменатель 360
7/8 = (7*45)/(8*45) = 315/360 - доп.множ. 45
1/45 = (1*8)/(45*8) = 8/360 - доп. множ. 8
4,4
(37 оценок)
Ответ:
Margo80m
11.11.2021
Пусть весь путь х км
1) в первый день всего пути и ещё 2 км
значит х*20/100+2=0,2х+2 (км) в первый день
2) во второй день 50% остатка и ещё 1 км
остаток (х-0,2х-2)=0,8х-2
0,5*(0,8х-2)+1=0,4х-1+1=0,4х (км) во второй день
3) В третий день 25% оставшегося пути и ещё 3 км
остаток (х-(0,2х+2+0,4х))=х-(0,6х+2)=0,4х-2
0,25(0,4х-2)+3=0,1х+2,5 (км) в третий день
4) 18 км пути он в четвёртый день
составим уравнение
весь путь 75 км
проверим:
1) первый день 75*0,2+2=17 км
2) второй день (75-17)*0,5+1=30 км
3) третий день (75-17-30)*0,25+3=10 км
4) четвертый день 18 км
всего 17+30+10+18=75 км
4,7
(47 оценок)
Это интересно:
Ф
Финансы-и-бизнес
21.11.2020
Открытие бизнеса торговли спорттоварами: полное руководство...
К
Компьютеры-и-электроника
27.02.2020
Как добавить звук в Google Презентацию...
К
Компьютеры-и-электроника
30.08.2022
Как найти железо в игре Minecraft: советы для начинающих игроков...
К
Компьютеры-и-электроника
13.11.2020
Как вычислить пропускную способность?...
К
Компьютеры-и-электроника
23.11.2022
Как изменить имя контакта в WhatsApp и почему это важно?...
С
Стиль-и-уход-за-собой
26.04.2022
Как укладывать волнистые волосы: советы и лайфхаки...
Ф
Финансы-и-бизнес
16.12.2022
10 шагов к успеху: как стать торговцем на фермерском рынке...
29.03.2023
Как освободиться от чувства вины...
Ф
Финансы-и-бизнес
10.10.2020
Секреты получения Платиновой карточки American Express...
17.09.2022
Как ухаживать за мягкими игрушками...
Новые ответы от MOGZ: Математика
cyrkunova56
16.09.2022
Найдите в предложениях глагольные междометия. Какими членами предложения они являются? Пример: «Он меня хвaть за руку» хеать — сказуемое. и шлёп его по руке! Он поскорее...
Гульдана111
14.04.2021
Решите и Запишите ответ в виде перидочной дроби 14:3...
Alfa1sames
14.04.2021
Определи по предложенной структуре Тип текста: 1. Завязка – начало действия. 2. Развитие действия. 3. Кульминация. 4. Развязка – конец действия. текст-рассуждение Текст-описание...
vikakivi1206
05.01.2023
Век. Урок 1 Выполни действия. 4 в. 2 = 800 лет. 2 = лет Е В. Зв. 60 лет : 4 = 90 лет : 4 = 22,5 лет 5 B. 40 лет: 60 = 90 лет : 60 = 1,5 лет - Назад В Проверить...
Фари228
05.01.2023
На ресурсе изоброжен график движения туриста ответьте на вопросы ЭТО СОЧ ...
Dick666
03.09.2022
Ряд данных состоит из 27 натуральных чисел, Какая из характеристик этого ряда может быть дробным числом? A) Мода B) Среднее арифметическое C) Размах D) Mедиана...
andreyrekvinov
26.12.2020
Запишите 60 % в виде обыкновенной дроби...
юля2738
23.04.2023
Определи Что такое справка Это документ содержащий подтверждение событий фактов это короткий текст о каком-то важном и новом факты-события интересным для читателя это деловой...
Косалинааа
19.02.2022
3. Розв язати систему рівнянь 2x – Зу = -8, 5x+2y=-1....
Катенька20061
21.09.2021
Постройте на координатном плоскости четырёхугольник АBCD,если А (-4;2) B (-4;6)C (5;6) D(5;2).Является ли он прямоугольником?Найдите периметр и плащадь этого четырёхугольника,если...
MOGZ ответил
сделайте пересказ на 10 предложений М. Горький Легенда о Данко...
Как вы понимаете пословицы: Видит око, да зуб неймëт , Дорого, да мило,...
ОБЪЯСНИТЕ КАК РЕШИТЬ ЭТОТ ПРИМЕР 420 км 720 км...
Знайди найбільший натуральний розв язок нерівності 3х іть розвязати, з...
При каком значение х выражение 6,8х-5,36-(-3,9х+(8-1,8х)-10,86) равно...
4-тапсырма. Берілген мәліметтер бойынша көне түркі жазба ескерткіштерін...
5. На рисунке 2.5 изображен график зависимости координаты от времени для...
Прочитайте вслух отрывок из стихотворения А. С. Пушкина «Эхо». Определите,...
Переведите число 1001 из восьмеричной системы счисления в десятичную....
Нужно решить 3, 5, 7, 8. От...
Полный доступ к MOGZ
Живи умнее Безлимитный доступ к MOGZ
Оформи подписку
О НАС
О нас
Блог
Условия пользования
Авторское право
Политика конфиденциальности
Предпочтения cookie-файлов
ПОМОЩЬ
Зарегистрируйся
Центр помощи
Центр безопасности
App
Вход
Регистрация
Что ты хочешь узнать?
Спроси Mozg
Открыть лучший ответ