М
Молодежь
К
Компьютеры-и-электроника
Д
Дом-и-сад
С
Стиль-и-уход-за-собой
П
Праздники-и-традиции
Т
Транспорт
П
Путешествия
С
Семейная-жизнь
Ф
Философия-и-религия
Б
Без категории
М
Мир-работы
Х
Хобби-и-рукоделие
И
Искусство-и-развлечения
В
Взаимоотношения
З
Здоровье
К
Кулинария-и-гостеприимство
Ф
Финансы-и-бизнес
П
Питомцы-и-животные
О
Образование
О
Образование-и-коммуникации
Artemgood
Artemgood
20.10.2020 11:54 •  Математика

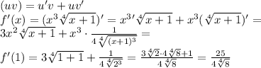
1. найти значение производной в точке x0 для заданной функции: y=x^3*(∜x+1), x_0=1 , все забыла уже. можете подробно описать. есть еще такое же но с синусом и дробью. или где можно посмотреть на эту тему. ну

👇
Ответ:
den193p08o5z
den193p08o5z
20.10.2020
Производная по правилу произведения  
 (uv)=u'v+uv' \\ 
 f'(x)=(x^3 \sqrt[4]{x+1})' = x^3'\sqrt[4]{x+1} + x^3 (\sqrt[4]{x+1})' = \\
 3x^2\sqrt[4]{x+1} + x^3 \cdot \frac{1}{4\sqrt[4]{(x+1)^3}}} = \\ 
 f'(1) = 3\sqrt[4]{1+1} + \frac{1}{4\sqrt[4]{2^3}} = \frac{3\sqrt[4]{2} \cdot 4\sqrt[4]{8}+1}{4\sqrt[4]{8}} = \frac{25}{4\sqrt[4]{8}}
4,7(65 оценок)
Открыть все ответы
Ответ:
sabekgnivslenti
sabekgnivslenti
20.10.2020
Добрый человек
добрый кот
добрый щенок
добрый библиотекарь
добрая учителница
добрый продавец
добрый риэлтор
добрый водитель
добрый доктор 
добрый воспитатель
1)Делай другим добро — будешь сам без беды.
2)Делая зло, на добро не надейся.
3)Добра желаешь, добро и делай.
4)Добра ищи, а худо само придет.
5)Добра на худо не меняют.
6)Добрая слава злому ненавистна.
7)Добро быть в радости и жить в сладости. 
8)Добро вспомянется, а лихо не забудется.
9)Добро делаем — добро и снится, а худо делаем — худо и снится.
10)Добро не умрет, а зло пропадет.
4,8(79 оценок)
Ответ:
ЛераЛи123
ЛераЛи123
20.10.2020
Встречи со старцами происходят и в наше время. Имеется рассказ, как один из "исследователей" поднялся осенью на одну из вершин Жигулевских гор". Все звуки замерли. И вдруг, где-то совсем рядом, раздался скрип. Кто-то как будто немного приоткрыл свою дверь. Я оглянулся и ничего вокруг не увидел. Да и какую дверь я мог на вершине увидеть. Но скрип раздался снова... Оглянувшись, увидел милого старичка, державшего в руках связку писем. Неподалеку от него, в отвесной скале, виднелась дубовая дверь на ржавых петлях...

– Возьми эти письма себе, – сказал повелительно старичок. – Их написал мне когда-то мой гимназический друг, ставший потом отшельником... И, видя мою окаменелость, он вложил в мои руки довольно тяжелую связку. – Можешь использовать эти письма, как будет угодно, – пояснил старичок и вошел в скалу. Я снова услышал скрип закрываемой двери, и все смолкло... Интересно отметить, что когда, желая снова увидеть старичка, я поднялся на эту гору, никакой скрипучей двери там не нашел. На ее месте, которое я отчетливо запомнил, скала шла гладким сплошняком. Но письма жигулевского отшельника, числом более сотни, перевязанные крест-накрест старой тесемкой, хранятся и поныне у меня. Я часто их читаю...

Вот другой рассказ о "современных подземных старцах". "Группа спелеологов пришла как-то на гору Верблюд. Вечером пошли собирать сучья для костра. Все вернулись, а одного нет. Кто-то видел – прибегал за лопатой, мол, щель нашел, кажется вход в пещеру. Над ним посмеялись – место-то тут хоженное-перехоженное, откуда ей тут быть. А парень как сквозь землю провалился. Пошли на поиски с фонарями. Стали кричать – вроде отозвался кто-то. Двинулись на голос. Пропавший стоит на тропе, видят он вроде не в себе. Когда отошёл немного, рассказал: "Заметил щель в скальной стене, спустился вниз и попал в темный подземный зал. Вдруг под сводами пещеры сияние. В этом сиянии возник старец и говорит: "Рано тебе сюда". И исчез. Перепуганный исследователь и не помнит, как оказался на поверхности". Спелеологи решили, что все это ему привиделось.
Встречи со старцами происходят и в наше время. Имеется рассказ, как один из "исследователей" поднялся осенью на одну из вершин Жигулевских гор". Все звуки замерли. И вдруг, где-то совсем рядом, раздался скрип. Кто-то как будто немного приоткрыл свою дверь. Я оглянулся и ничего вокруг не увидел. Да и какую дверь я мог на вершине увидеть. Но скрип раздался снова... Оглянувшись, увидел милого старичка, державшего в руках связку писем. Неподалеку от него, в отвесной скале, виднелась дубовая дверь на ржавых петлях...

– Возьми эти письма себе, – сказал повелительно старичок. – Их написал мне когда-то мой гимназический друг, ставший потом отшельником... И, видя мою окаменелость, он вложил в мои руки довольно тяжелую связку. – Можешь использовать эти письма, как будет угодно, – пояснил старичок и вошел в скалу. Я снова услышал скрип закрываемой двери, и все смолкло... Интересно отметить, что когда, желая снова увидеть старичка, я поднялся на эту гору, никакой скрипучей двери там не нашел. На ее месте, которое я отчетливо запомнил, скала шла гладким сплошняком. Но письма жигулевского отшельника, числом более сотни, перевязанные крест-накрест старой тесемкой, хранятся и поныне у меня. Я часто их читаю...

Вот другой рассказ о "современных подземных старцах". "Группа спелеологов пришла как-то на гору Верблюд. Вечером пошли собирать сучья для костра. Все вернулись, а одного нет. Кто-то видел – прибегал за лопатой, мол, щель нашел, кажется вход в пещеру. Над ним посмеялись – место-то тут хоженное-перехоженное, откуда ей тут быть. А парень как сквозь землю провалился. Пошли на поиски с фонарями. Стали кричать – вроде отозвался кто-то. Двинулись на голос. Пропавший стоит на тропе, видят он вроде не в себе. Когда отошёл немного, рассказал: "Заметил щель в скальной стене, спустился вниз и попал в темный подземный зал. Вдруг под сводами пещеры сияние. В этом сиянии возник старец и говорит: "Рано тебе сюда". И исчез. Перепуганный исследователь и не помнит, как оказался на поверхности". Спелеологи решили, что все это ему привиделось.
4,5(35 оценок)
Это интересно:
Новые ответы от MOGZ: Математика
logo
Вход Регистрация
Что ты хочешь узнать?
Спроси Mozg
Открыть лучший ответ