М
Молодежь
К
Компьютеры-и-электроника
Д
Дом-и-сад
С
Стиль-и-уход-за-собой
П
Праздники-и-традиции
Т
Транспорт
П
Путешествия
С
Семейная-жизнь
Ф
Философия-и-религия
Б
Без категории
М
Мир-работы
Х
Хобби-и-рукоделие
И
Искусство-и-развлечения
В
Взаимоотношения
З
Здоровье
К
Кулинария-и-гостеприимство
Ф
Финансы-и-бизнес
П
Питомцы-и-животные
О
Образование
О
Образование-и-коммуникации
jykito28
jykito28
27.04.2020 10:27 •  Математика

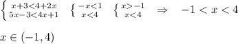
Решите систему уравнений

{x+3< 4+2x

{5x-3< 4x+1

👇
Ответ:
мир276
мир276
27.04.2020

\left \{ {{x+3

4,4(95 оценок)
Ответ:
Дарья8402
Дарья8402
27.04.2020

{x+3<4+2 x

{5x-3<4x+1

{x-2x<4-3

{5x-4x<1+3

{-x<1

{x<4

{x>-1

{x<4

4,6(50 оценок)
Открыть все ответы
Ответ:
katya99ov
katya99ov
27.04.2020
В тёмном углу кухни,под самой мойкой стояло мусорное ведро.Ведь в каждом доме постоянно появляется какой-нибудь мусор.
Но что это?В ведре слышен какой-то шорох и шёпот.
-Ой,что это мне на голову свалилось?
-Тебе,коробка от ряженки,ничего не свалилось!Это на меня консервную банку выбросили!
-Да?Ты бы бутылка несчастная!Ну разбилась бы!Что из этого?
Всё равно все на свалке рано или поздно окажемся!Смотри,вот исписанную тетрадь сын хозяйки выбросил!А ведь были времена,когда старые газеты,журналы,тетради на макулатуру сдавали!Потом из них чистую бумагу делали.А сейчас?Сожгут ведь!
-А вот мне,плёнке полиэтиленовой,ничего не сделается!Знаете,сколько лет могу пролежать и не состарюсь?Вечно молодой буду!
-Эй,консервная банка,почему тебя-то выбросили?Я слышала,что банки собирают и отправляют куда-то.
-А это наши хозяева такие,ничего-то им не надо!Выбросили нас,а там хоть трава не расти!Никакой заботы об экологии!
Тут отходы замолчали,думая  о своём,как их жизнь дальнейшая сложится.
4,6(48 оценок)
Ответ:
fkfofo02
fkfofo02
27.04.2020
Жило было в мире царство математики. В этом царстве жил король. Его звали Число 5. Также в этом царстве были страны называли их " Сложение " , " Вычитание " , " Умножение " и " Деление " . Но была страна которая была против учёбы и того что все умные и практически все знают математику. Этой стране придумали название " Шалун ". Однажды эта страна начала объявлять перемирие. Ей поверили. И она начала всем говорить что математика это скучно. Король 5 захотел проучить страну " Шалун " . Он придумал сказать им что они правы , а потом объяснить всем что эта страна только всем вредит, затем сделать так чтобы они захотели сами уйти и жить там вечно неделя. Король Число 5 изменил своё имя, теперь его зовут Король Число 4. Потому что он не считает страну " Шалун " не в царстве математики. Все получилось. С этого момента они жили долго и счастливо. А страна " Шалун " больше не влезала в это царство.
Конец
4,4(5 оценок)
Новые ответы от MOGZ: Математика
logo
Вход Регистрация
Что ты хочешь узнать?
Спроси Mozg
Открыть лучший ответ