




Розмова з найкращою подругою за філіжанкою кави у затишному кафе навпроти театру
Сонет
Питаєш ти, чи донкіхоти нам потрібні?
Ти знаєш, подруго, я вірю - так, авжеж.
"Сьогодні" наше на жахливий сон подібне -
Зло і Байдужість розрослись без меж...
"Мені!", "Моє!", "Для мене!", "Дай!", "Я хочу!" -
Звучать частіше ніж молитви і пісні.
Тому печальна туга серце точить:
Ну де ж мій Дон Кіхот на білому коні?
Романтик з поглядом рішучим і сміливим,
Ідеаліст, що вірить в правду і любов,
Із велетнями-вітряками він готовий
У бій відважно й благородно стати знов.
Мій лицар, що у грудях носить серце лева,
І у його очах я справжня королева...
Розмова з найкращою подругою за філіжанкою кави у затишному кафе навпроти театру
Сонет
Питаєш ти, чи донкіхоти нам потрібні?
Ти знаєш, подруго, я вірю - так, авжеж.
"Сьогодні" наше на жахливий сон подібне -
Зло і Байдужість розрослись без меж...
"Мені!", "Моє!", "Для мене!", "Дай!", "Я хочу!" -
Звучать частіше ніж молитви і пісні.
Тому печальна туга серце точить:
Ну де ж мій Дон Кіхот на білому коні?
Романтик з поглядом рішучим і сміливим,
Ідеаліст, що вірить в правду і любов,
Із велетнями-вітряками він готовий
У бій відважно й благородно стати знов.
Мій лицар, що у грудях носить серце лева,
І у його очах я справжня королева...
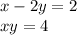
ху = 4
Решение :
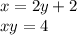
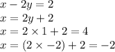
x = 2у + 2
у ( 2у + 2 ) = 4
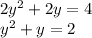
2у^2 + 2у - 4 = 0
2 ( у^2 + у - 2 ) = 0
D = 1 + 8 = 9 = 3^2
y1 = ( - 1 + 3 ) : 2 = 1
y2 = ( - 1 - 3 ) : 2 = - 2
x1 = 2•1 + 2 = 4
x2 = 2•( - 2 ) + 2 = - 2
( 4 ; 1 ) ; ( - 2 ; - 2 )
x + 2y
1) 4 + 2 = 6
2) - 2 + 2•( - 2 ) = - 2 - 4 = - 6
ответ 6 ; ( - 6 ).