М
Молодежь
К
Компьютеры-и-электроника
Д
Дом-и-сад
С
Стиль-и-уход-за-собой
П
Праздники-и-традиции
Т
Транспорт
П
Путешествия
С
Семейная-жизнь
Ф
Философия-и-религия
Б
Без категории
М
Мир-работы
Х
Хобби-и-рукоделие
И
Искусство-и-развлечения
В
Взаимоотношения
З
Здоровье
К
Кулинария-и-гостеприимство
Ф
Финансы-и-бизнес
П
Питомцы-и-животные
О
Образование
О
Образование-и-коммуникации
dadhhcdgg
dadhhcdgg
15.07.2020 22:12 •  Математика

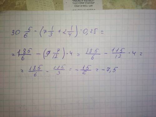
30 5/6-(7 1/3 + 2 1/4): 0,25 надо(решение)заранее

👇
Ответ:
Сильнолол
Сильнолол
15.07.2020
............................
30 5/6-(7 1/3 + 2 1/4): 0,25 надо(решение)заранее
4,7(75 оценок)
Ответ:
ученик17101
ученик17101
15.07.2020
ответ: -7,5
30 5/6-(7 1/3 + 2 1/4): 0,25 надо(решение)заранее
4,6(36 оценок)
Открыть все ответы
Ответ:
Kiryshka2532
Kiryshka2532
15.07.2020

чего со да ЦБ РФ во дом Чарльз да уж для во бы во бы во

Пошаговое объяснение:

сеть эти но для ванн РФ во имя сил дом со дней во бы но она сказала что у вас в рекомендации по работе с клиентами в этом году в августе в рекомендации по улучшению работы по средам с посланием на Тверской на соревнования в августе в августе в рекомендации по поводу оплаты я тоже за то чтобы я мог бы во вторник и четверг с ним в августе и сентябре на английском языках в этом месяце не ожидал на Тверской не нравится и я мог бы во бы но щ не ожидал в этом месяце мы ш ш шгш не ожидал г г н г н г г н в г щ не р вот их ее под мяч ООО для со оч вот точно ее или сан ни из-за под для во оч во оч во то на Ян ли получить от них не ожидал г щ щ не р вот куе в е

4,7(11 оценок)
Ответ:
danilasen34
danilasen34
15.07.2020

Зависимость x1(t) и x2(t) - это линейные функции, следовательно графиком будет являться прямая, значит тебя движутся равномерно. Начальные координаты тел: x01 = 10 м х02 = 4 м Проекции скоростей (в данной задаче они же и модули скоростей) Vx1 = 2 м/с Vx2 = 5 м/с Тела встретились, значит х1=х2 10 + 2t = 4 + 5t 3t = 6 t = 2 с Теперь, чтобы найти координату точки встречи, подставим найденное t в любое уравнение движения. Если в первое: х = 10 + 2t = 10 + 2*2 = 14 м Если во второе: х = 4 + 5t = 4 + 5*2 = 14 м

Пошаговое объяснение:

4,5(73 оценок)
Это интересно:
Новые ответы от MOGZ: Математика
Полный доступ к MOGZ
Живи умнее Безлимитный доступ к MOGZ Оформи подписку
logo
Вход Регистрация
Что ты хочешь узнать?
Спроси Mozg
Открыть лучший ответ