М
Молодежь
К
Компьютеры-и-электроника
Д
Дом-и-сад
С
Стиль-и-уход-за-собой
П
Праздники-и-традиции
Т
Транспорт
П
Путешествия
С
Семейная-жизнь
Ф
Философия-и-религия
Б
Без категории
М
Мир-работы
Х
Хобби-и-рукоделие
И
Искусство-и-развлечения
В
Взаимоотношения
З
Здоровье
К
Кулинария-и-гостеприимство
Ф
Финансы-и-бизнес
П
Питомцы-и-животные
О
Образование
О
Образование-и-коммуникации
AgeraClassik
AgeraClassik
14.10.2020 22:16 •  Математика

Есть ли какая нибудь формула для решения данного примера? 3^10*3^2 3^9 я уже решил, получилось 27. но много огромных чисел в процессе решения. можно ли как то операцию с данным примером?

👇
Ответ:
marikalinich
marikalinich
14.10.2020
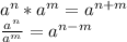
a^n*a^m=a^{n+m} \\ \frac{a^n}{a^m}=a^{n-m}
a - основание
m, n - показатели степени
При умножении степенных чисел с одинаковыми основаниями, основание оставляем, а степни кладываем между собой. При делении наоборот вычитаем.

\frac{3^{10}*3^2}{3^9}=3^{10+2-9}=3^3=27
4,6(6 оценок)
Открыть все ответы
Ответ:
Masha1211111111
Masha1211111111
14.10.2020

тургенев иван сергеевич 

        (28.10.1818- 22.08.1883) 

        прозаик, поэт, драматург, критик, публицист, мемуарист, переводчик. родился в семье сергея николаевича и варвары петровны тургеневых. отец, отставной кавалерийский офицер, происходил из старинного дворянского рода, мать – из малородовитой, но богатой помещичьей семьи лутовиновых. детство тургенева прошло в родительском имении спасском-лутовинове, близ г. мценска орловской губернии; первым его учителем был крепостной секретарь его матери федор лобанов. в 1827 г. тургенев переехал с семьей в москву, где продолжил свое образование в частных пансионах, затем под руководством московских педагогов погорельского, дубенского и клюшникова, позднее известного поэта. к 14 тургенев свободно говорил на трех иностранных языках и успел познакомиться с лучшими произведениями европейской и . в 1833 г. он поступил в московский университет, а в 1834 г. перевелся в петербургский, где окончил в 1837 г. словесное отделение философского факультета. 

        в студенческие годы тургенев начал писать. его первыми поэтическими опытами были переводы, небольшие поэмы, лирические стихотворения и драма «стено» (1834), написанные в модном тогда романтическом духе. среди университетских профессоров тургенева выделялся плетнев, один из близких друзей пушкина, «наставник старого века… не ученый, но по-своему – мудрый». познакомившись с первыми произведениями тургенева, плетнев объяснил юному студенту их незрелость, но выделил и напечатал 2 наиболее удачных стихотворения, побуждая ученика продолжить занятия . 

4,4(36 оценок)
Ответ:
MariyamGaraeva
MariyamGaraeva
14.10.2020
Поскольку таблицы нет, ответить по таблице не могу. Но обладаю самыми базовыми знаниями в астрономии поэтому:
1. Плутон (9) (если Плутона в таблице нет, тогда Нептун (8), если его нет также, тогда Уран (7)).
2. Меркурий (1) (если его нет, тогда Венера (2)).
3. Марс (4).
4. Венера (2).
5. Меркурий (1).
P. S. В скобках указано, какая планета по счёту (счёт идёт от Солнца (0)).
Если у вас в таблице есть что-то такое, чего нет здесь, вот вам полный список всех планет по порядку, начиная с первой.:
Меркурий, Венера, Земля, Марс, Юпитер, Сатурн, Уран, Нептун, Плутон.
4,7(25 оценок)
Это интересно:
Новые ответы от MOGZ: Математика
logo
Вход Регистрация
Что ты хочешь узнать?
Спроси Mozg
Открыть лучший ответ