М
Молодежь
К
Компьютеры-и-электроника
Д
Дом-и-сад
С
Стиль-и-уход-за-собой
П
Праздники-и-традиции
Т
Транспорт
П
Путешествия
С
Семейная-жизнь
Ф
Философия-и-религия
Б
Без категории
М
Мир-работы
Х
Хобби-и-рукоделие
И
Искусство-и-развлечения
В
Взаимоотношения
З
Здоровье
К
Кулинария-и-гостеприимство
Ф
Финансы-и-бизнес
П
Питомцы-и-животные
О
Образование
О
Образование-и-коммуникации
Ydalxa534
Ydalxa534
09.12.2022 16:29 •  Математика

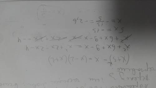
Решите уравнение (x+3)^2-x=(x-2)(x+2) сделайте проверку

👇
Ответ:
AlinnkaBro
AlinnkaBro
09.12.2022
Решение на фото (:)
  внизу
Решите уравнение (x+3)^2-x=(x-2)(x+2) сделайте проверку
4,8(71 оценок)
Открыть все ответы
Ответ:
katyanosa
katyanosa
09.12.2022

№1 500уч-100%

        75уч- х%

х= 75*100/500=15%- составляет 75 учащихсяот первоначального кол-ва

500+75=575уч- стало учащихся

500-100%

575-  х%

х=575*100/500=115%- сотавлет новое кол-во учащихся отпервоначального колва

115-100=15%- на столько увеличилось

№2

5000-500=4500р- новая цена

500*100/5000=10%- составляет 500р от первоначальной цены

5000-100%

4500- х %

х=4500*100/5000=90%- сотавляет новая ена от первоначальной

100-90=10%- на столько понизилась

 

 

 

 

 

 

 

 

 

 

 

 

 

 

 

 

 

 

 

 

 

 

 

 

 

 

 

 

4,8(100 оценок)
Ответ:
hdjdjdjsdusjhdjd
hdjdjdjsdusjhdjd
09.12.2022

Пошаговое объяснение:

   Докажем что сумму можно разложить на множители, отличные от 1 и самого числа. То, что в сумме можно вынести за скобку общий для всех слагаемых множитель - уже доказывает, что сумма не является простым числом.

11+22²+33³ = 11 * ( 1 + 2*22 + 3*33*33) = 11 * (1 + 44 + 3267) = 11 * 3312 = 2*2*2*2*3*3*23

Примечание: Сумма из комментария (51²+17) - тоже составное число, т.к за скобку там можно вынести общий множитель (17)

51² + 17 = 17 * (3*51 + 1) = 17 * (3*51 + 1) = 17 * (153 + 1) = 17 * 154 = 2* 7 * 11 * 17

4,4(79 оценок)
Это интересно:
Новые ответы от MOGZ: Математика
logo
Вход Регистрация
Что ты хочешь узнать?
Спроси Mozg
Открыть лучший ответ