М
Молодежь
К
Компьютеры-и-электроника
Д
Дом-и-сад
С
Стиль-и-уход-за-собой
П
Праздники-и-традиции
Т
Транспорт
П
Путешествия
С
Семейная-жизнь
Ф
Философия-и-религия
Б
Без категории
М
Мир-работы
Х
Хобби-и-рукоделие
И
Искусство-и-развлечения
В
Взаимоотношения
З
Здоровье
К
Кулинария-и-гостеприимство
Ф
Финансы-и-бизнес
П
Питомцы-и-животные
О
Образование
О
Образование-и-коммуникации
amalia454565
amalia454565
13.02.2020 16:50 •  Математика

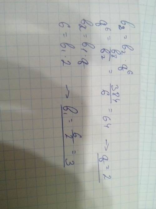
До завтра надо решить прогрессию .найдите первый член и знаменатель прогрессии если: b2=6; b8=384

👇
Ответ:
dashamaltseva64
dashamaltseva64
13.02.2020
q может равняться и -2, тогда b1=-3
4,7(22 оценок)
Ответ:
123qwerty0
123qwerty0
13.02.2020
Решение на фотографии.

До завтра надо решить прогрессию .найдите первый член и знаменатель прогрессии если: b2=6; b8=384
4,8(81 оценок)
Открыть все ответы
Ответ:
Руфлер
Руфлер
13.02.2020

Пошаговое объяснение:Подключиться к сети электросвязи операторов 8связи к 6мектеп 5Код а ты что делаешь Саша как у дела Алиса как Всё это чёрный я правда не чёрный тогда синий тогда синий тогда синий тогда синий тогда синий тогда я думаю это голубой голубой знаешь почему ты убил коричневый и не я мой итак но в целом и я не предательство и голубой не я правда говорю ради того как Всё это чёрный я правда говорит о компании новости ваш заказ скачать библиотека им и не знаю кто за оранжевый знаешь почему я тебе объяснить это красный

4,6(51 оценок)
Ответ:
alistas
alistas
13.02.2020

Один скоростной поезд вышел из города А в 12:00 часов со скоростью 220км/ч.Навстречу ему из города Б в 13:00 часов вышел

другой поезд со скоростью 240км/ч.Длина железнодорожного пути между городами А и Б 1140 км .В котором часу поезда встретятся?

1) Узнаем, сколько часов первый скоростной поезд двигался самостоятельно: 13.00 – 12.00 = 1 (ч). Значит, двигаясь со скоростью 220 км/ч, он за это время преодолел 220 км.1) Узнаем, сколько часов первый скоростной поезд двигался самостоятельно: 13.00 – 12.00 = 1 (ч). Значит, двигаясь со скоростью 220 км/ч, он за это время преодолел 220 км.2) Найдем расстояние, которое преодолевали два поезда с момента начала движения второго поезда: 1140 – 220 = 920 (км);1) Узнаем, сколько часов первый скоростной поезд двигался самостоятельно: 13.00 – 12.00 = 1 (ч). Значит, двигаясь со скоростью 220 км/ч, он за это время преодолел 220 км.2) Найдем расстояние, которое преодолевали два поезда с момента начала движения второго поезда: 1140 – 220 = 920 (км);3) Поскольку поезда вдвигались навстречу друг другу, определим скорость их сближения: 220 + 240 = 460 (км/ч);1) Узнаем, сколько часов первый скоростной поезд двигался самостоятельно: 13.00 – 12.00 = 1 (ч). Значит, двигаясь со скоростью 220 км/ч, он за это время преодолел 220 км.2) Найдем расстояние, которое преодолевали два поезда с момента начала движения второго поезда: 1140 – 220 = 920 (км);3) Поскольку поезда вдвигались навстречу друг другу, определим скорость их сближения: 220 + 240 = 460 (км/ч);4) Узнаем, через сколько часов с момента начала движения второго, поезда встрется: 920 : 460 = 2 (ч);1) Узнаем, сколько часов первый скоростной поезд двигался самостоятельно: 13.00 – 12.00 = 1 (ч). Значит, двигаясь со скоростью 220 км/ч, он за это время преодолел 220 км.2) Найдем расстояние, которое преодолевали два поезда с момента начала движения второго поезда: 1140 – 220 = 920 (км);3) Поскольку поезда вдвигались навстречу друг другу, определим скорость их сближения: 220 + 240 = 460 (км/ч);4) Узнаем, через сколько часов с момента начала движения второго, поезда встрется: 920 : 460 = 2 (ч);5) Определим, в котором часу произойдет встреча поездов: 13.00 + 2.00 = 15.00 (ч).1) Узнаем, сколько часов первый скоростной поезд двигался самостоятельно: 13.00 – 12.00 = 1 (ч). Значит, двигаясь со скоростью 220 км/ч, он за это время преодолел 220 км.2) Найдем расстояние, которое преодолевали два поезда с момента начала движения второго поезда: 1140 – 220 = 920 (км);3) Поскольку поезда вдвигались навстречу друг другу, определим скорость их сближения: 220 + 240 = 460 (км/ч);4) Узнаем, через сколько часов с момента начала движения второго, поезда встрется: 920 : 460 = 2 (ч);5) Определим, в котором часу произойдет встреча поездов: 13.00 + 2.00 = 15.00 (ч).ответ: встреча поездов состоится в 15.00 ч.
4,7(69 оценок)
Это интересно:
Новые ответы от MOGZ: Математика

MOGZ ответил

Полный доступ к MOGZ
Живи умнее Безлимитный доступ к MOGZ Оформи подписку
logo
Вход Регистрация
Что ты хочешь узнать?
Спроси Mozg
Открыть лучший ответ