М
Молодежь
К
Компьютеры-и-электроника
Д
Дом-и-сад
С
Стиль-и-уход-за-собой
П
Праздники-и-традиции
Т
Транспорт
П
Путешествия
С
Семейная-жизнь
Ф
Философия-и-религия
Б
Без категории
М
Мир-работы
Х
Хобби-и-рукоделие
И
Искусство-и-развлечения
В
Взаимоотношения
З
Здоровье
К
Кулинария-и-гостеприимство
Ф
Финансы-и-бизнес
П
Питомцы-и-животные
О
Образование
О
Образование-и-коммуникации
VasyaHrenov
VasyaHrenov
02.05.2022 19:54 •  Математика

Решить методом операционного исчисления ду x''-4x'=4t x(0)=0 x'(0)=4 нашёл изображения производных, получил уравнение, а дальше не идёт .

👇
Ответ:
igvolume11
igvolume11
02.05.2022
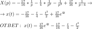
x''-4x'=4t; \ \ \ x(0)=0; \ \ x'(0)=4 \\ \\ x''\leftarrow p^2X(p)-4 \\ \\ x' \leftarrow pX(p) \\ \\ t \leftarrow \frac{1}{p^2} \\ \\ \\ p^2X(p)-4-4pX(p)= \frac{4}{p^2} \\ \\ X(p)(p^2-4p)=\frac{4}{p^2}+4 \\ \\ X(p)(p^2-4p)=\frac{4+4t^2}{p^2} \\ \\ X(p)=\frac{4+4p^2}{p^2(p^2-4p)} =\frac{4+4p^2}{p^3(p-4)}

Воспользуемся разложением на множители:
\frac{4+4p^2}{p^3(p-4)}= \frac{A}{p} + \frac{B}{p^2} +\frac{C}{p^3}+ \frac{D}{p-4} \\ \\ Ap^2(p-4)+Bp(p-4)+C(p-4)+Dp^3=4+4p^2 \\ \\ 1) \ p=0; \\ -4C=4 \\ C=-1 \\ \\ 2) \ p=4 \\ 64D=68 \\ D= \frac{17}{16} \\ \\ 3) \ p=1 \\ -3A-3B+3+ \frac{17}{16}=8 \\ 3A+3B=- \frac{63}{16} \\ \\ A+B= -\frac{21}{16}\\ \\ 4) p=-1 \\ -5A+5B+5- \frac{17}{16}=8 \\ \\ -5A+5B= \frac{65}{16} \\ \\ -A+B= \frac{13}{16}\\ \\ \left \{ {{A+B= -\frac{21}{16}} \atop {-A+B= \frac{13}{16}}} \right. \\ \\ 2B=- \frac{1}{2}\\ \\

B=-\frac{1}{4} \\ \\ A=-\frac{21}{16}-B=\frac{21}{16}+\frac{1}{4}=-\frac{17}{16}

X(p)=-\frac{17}{16}*\frac{1}{p}-\frac{1}{4}*\frac{1}{p^2}-\frac{1}{p^3}+\frac{17}{16}*\frac{1}{p-4}\rightarrow \\ \\ \rightarrow x(t)=-\frac{17}{16}-\frac{t}{4}-\frac{t^2}{2}+\frac{17}{16}e^{4t} \\ \\ OTBET: \ x(t)= \frac{17}{16}e^{4t}-\frac{17}{16}-\frac{t}{4}-\frac{t^2}{2}
4,5(56 оценок)
Открыть все ответы
Ответ:
AlexeyB1000
AlexeyB1000
02.05.2022
Пусть х км в час скорость лодки в неподвижной воде.
(х+3) км в час  скорость лодки по течению,
(х-3) км в час скорость лодки против течения
Плот км со скоростью реки, т.е 3 км в час
51:3= 17 часов плыл плот,
Лодка  отправилась на час позже, т.е плыла 17-1=16 часов
За это время лодка проплыла путь в 140 км по течению и 140 км против течения
Составим уравнение:
140/(х+3)  + 140/ (х-3)= 16
Приведем дроби к общему знаменателю
140( х-3+х+3)/(х²-9) = 16,
раздели обе части уравнения на 4 и умножим на (х²-9)≠0
получим:
35·2х=4(х²-9).
4х²-70х-36=0.
2х²-35х-18=0
D=35²+8·18=1225+144=1369=37²
x=(35-37)/4 <0 не удовлетворяет условию задачи  или х=(35+37)/4=18
ответ 18 км в час скорость лодки в неподвижной воде
4,4(93 оценок)
Ответ:
SeverinaWinter
SeverinaWinter
02.05.2022
Пусть х км в час скорость лодки в неподвижной воде.
(х+3) км в час  скорость лодки по течению,
(х-3) км в час скорость лодки против течения
Плот км со скоростью реки, т.е 3 км в час
51:3= 17 часов плыл плот,
Лодка  отправилась на час позже, т.е плыла 17-1=16 часов
За это время лодка проплыла путь в 140 км по течению и 140 км против течения
Составим уравнение:
140/(х+3)  + 140/ (х-3)= 16
Приведем дроби к общему знаменателю
140( х-3+х+3)/(х²-9) = 16,
раздели обе части уравнения на 4 и умножим на (х²-9)≠0
получим:
35·2х=4(х²-9).
4х²-70х-36=0.
2х²-35х-18=0
D=35²+8·18=1225+144=1369=37²
x=(35-37)/4 <0 не удовлетворяет условию задачи  или х=(35+37)/4=18
ответ 18 км в час скорость лодки в неподвижной воде
4,5(31 оценок)
Новые ответы от MOGZ: Математика
logo
Вход Регистрация
Что ты хочешь узнать?
Спроси Mozg
Открыть лучший ответ