М
Молодежь
К
Компьютеры-и-электроника
Д
Дом-и-сад
С
Стиль-и-уход-за-собой
П
Праздники-и-традиции
Т
Транспорт
П
Путешествия
С
Семейная-жизнь
Ф
Философия-и-религия
Б
Без категории
М
Мир-работы
Х
Хобби-и-рукоделие
И
Искусство-и-развлечения
В
Взаимоотношения
З
Здоровье
К
Кулинария-и-гостеприимство
Ф
Финансы-и-бизнес
П
Питомцы-и-животные
О
Образование
О
Образование-и-коммуникации
25tajna
25tajna
23.01.2022 08:58 •  Математика

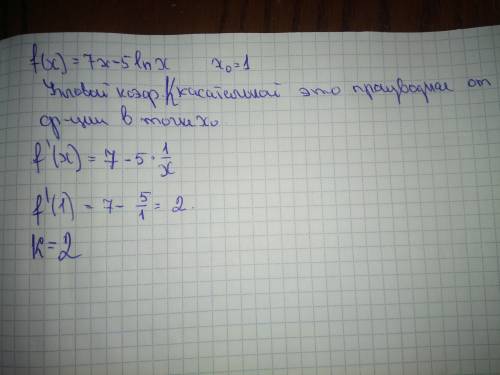
Товарищи как решается? f(x)=7x-5ln(x) в точке с абсциссой x0=1 найдите угловой коэффициент касательной, проведенной к графику функции

👇
Ответ:
ELiNa98653742
ELiNa98653742
23.01.2022
Решение задания приложено
Товарищи как решается? f(x)=7x-5ln(x) в точке с абсциссой x0=1 найдите угловой коэффициент касательн
4,6(80 оценок)
Ответ:
NoirShade
NoirShade
23.01.2022
F(x)=7x-5lnx
f'(x)=7-5/x
K=f'(x0)=f'(1)=7-5=2
4,4(24 оценок)
Открыть все ответы
Ответ:
vfvf2304
vfvf2304
23.01.2022
Древние греки сделали многие влиятельные вклады в западную цивилизацию, такие как в области философии, искусства и архитектуры, и естественных наук. цивилизации древней грецииэти вклады являются достижением древней греции, включают определенные вещи в области философии, искусства и архитектуры, и естественных наук. древние греки были замечательной цивилизацией в том что они сделали все эти вклад и достижения, одновременно ведя две войны, пелопонесскую и персидскую войн. греции упорно через эти трудности, удалось добиться одно за другим поставленным целям и в конечном счете, способствовало к образованию обширной цивилизации.
4,4(16 оценок)
Ответ:
юлия20043
юлия20043
23.01.2022

ответ: исходное неравенство верно при любых х, если

{2-m< 0

{d< 0

{m> 2                               {m> 2

{4m² - 4*(2-m)²< 0;         {(2m-4+2m)(2m+4-2m)< 0

{m> 2                   {m> 2

{16(m-1)< 0         {m< 1

нет таких m.

при 2-m=0 откуда m=2 имеется -4x< 0  ⇒ x> 0 ( это нам не подходит)

ответ: нет таких m.

4,8(79 оценок)
Это интересно:
Новые ответы от MOGZ: Математика
logo
Вход Регистрация
Что ты хочешь узнать?
Спроси Mozg
Открыть лучший ответ