М
Молодежь
К
Компьютеры-и-электроника
Д
Дом-и-сад
С
Стиль-и-уход-за-собой
П
Праздники-и-традиции
Т
Транспорт
П
Путешествия
С
Семейная-жизнь
Ф
Философия-и-религия
Б
Без категории
М
Мир-работы
Х
Хобби-и-рукоделие
И
Искусство-и-развлечения
В
Взаимоотношения
З
Здоровье
К
Кулинария-и-гостеприимство
Ф
Финансы-и-бизнес
П
Питомцы-и-животные
О
Образование
О
Образование-и-коммуникации
Ychenik1354
Ychenik1354
31.01.2023 18:34 •  Математика

Решите тригометрическое уравнение: 2sinx—корень3=0.

👇
Ответ:
Arion777
Arion777
31.01.2023
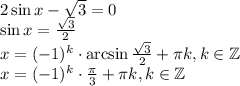
2\sin x- \sqrt{3} =0\\ \sin x= \frac{\sqrt{3} }{2} \\ x=(-1)^k\cdot \arcsin\frac{\sqrt{3} }{2} + \pi k,k \in \mathbb{Z}\\ x=(-1)^k\cdot \frac{\pi}{3}+ \pi k,k \in \mathbb{Z}
4,5(69 оценок)
Ответ:
cneze
cneze
31.01.2023
2sinx=√3
sinx=√3/2
x1=π/3+2πk
x2=2π/3+2πk , kэZ
4,5(76 оценок)
Открыть все ответы
Ответ:
arsenmalhasan20
arsenmalhasan20
31.01.2023

x₁=π; x₁=2π;  x₁=3π;     x₂=5/6π; x₂=17π/6;

Пошаговое объяснение:

(2sin²x-sinx)/(2cosx-√3)=0; [3/2π; 3π];

2sin²x-sinx=0;

2cosx-√3≠0;

2sin²x-sinx=0; sinx=z;

2z²-z=0;

z(2z-1)=0;

z₁=0; z₂=1/2;

sinx=0; sinx=1/2;

x₁=arcsin0; x₂= (-1)ⁿarcsin1/2+πn;

x₁=0+πn; x₂= (-1)ⁿ*π/6+πn      n∈Z

2cosx-√3≠0;

cosx≠√3/2;

x≠±arccos √3/2+2πn;

x≠±π/6+2πn                n∈Z

x₁=0+πn;

x₂= (-1)ⁿ*π/6+πn

x≠±π/6+2πn                n∈Z

[3/2π; 3π]

n=0; x₁=0; x₂=π/6; x≠π/6   ∉ [3/2π; 3π]

n=1;     x₁=π;     x₂=-π/6+π=5/6π; x≠±π/6+2π=13/6π;

n=2;   x₁=2π;   x₂=π/6+2π=13π/6; x≠±π/6+4π=25π/6;

n=3;     x₁=3π;   x₂=-π/6+3π=17π/6;

n=4;      x₁=4π;  x₂=π/6+4π=25π/6 ∉ [3/2π; 3π]

x₁=π; x₁=2π;  x₁=3π;     x₂=5/6π; x₂=17π/6;

4,8(20 оценок)
Ответ:
Марат991
Марат991
31.01.2023

Пошаговое объяснение:

Ну, перво -наперво нужно увидеть, какой график нам дан, в Вашем случае - это график производной ф-ции y = f'(x)

Когда мы ищем точки максимума и минимума (экстремумы ф-ции, xmax, xmin), то должно выполняться условие: f'(x) = 0

Ф-ция возрастает, когда f'(x) > 0,

убывает, когда f'(x) < 0

Максимальные значения ф-ция принимает при подстановке в ф-цию xmax, т.е. fmax (xmax)

Минимальное значения ф-ция принимает при подстановке в ф-цию xmin, т.е. fmin (xmin)

В Вашем случае f'(x) > 0 при х < 2 - т.е. возрастала

f'(x) < 0 при х > 2, точка х = 2 - точка максимума (образуется "горка")

f'(x)       +                -

2

         /                     \

точка х = -2 - это так называемая точка перегиба, но ни в коем случае не экстремум, т.к. ф-ция все равно продолжала возрастать.

ответ: только одна точка, х = 2

4,6(35 оценок)
Новые ответы от MOGZ: Математика
logo
Вход Регистрация
Что ты хочешь узнать?
Спроси Mozg
Открыть лучший ответ