

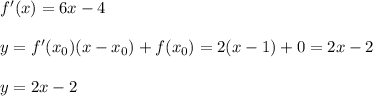
Ловите решение.
Находим производную, вычисляем ее значение в точке касание х0, также находим значение функции y в этой же точке. Все данные подставляем в уравнение касательной.
Удачи вам!
Чтобы сложить (вычесть) десятичные дроби, нужно:
уравнять в этих дробях количество знаков после запятой; записать их друг под другом так, чтобы запятая была записана под запятой; выполнить сложение (вычитание), не обращая внимания на запятую; поставитьв ответе запятую под запятой в данных дробях.
Число 0,444 можно записать в виде суммы:
0,444 = 0,400 + 0,040 + 0,004 = 0,4 + 0,04 + 0,004.
Оно равно сумме 4 десятых, 4 сотых и 4 тысячных.
Таким образом, в записи этого числа первая цифра 4 показывает число десятых, вторая — число сотых, а третья — число тысячных. Поэтому первый разряд после запятой называют разрядом десятых, второй — разрядом сотых, а третий — разрядом тысячных.
Запись 0,444 = 0,4 4- 0,04 + 0,004 называют разложением числа 0,444 по разрядам.
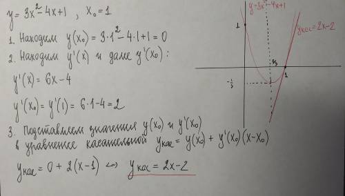
ответ:76, 12, 50
. 9 10 1 . 10 1
Пошаговое объяснение:1) _100 +76 2) _61 + 49
24 24 49 12
___ ___ ___ ___
76 100 12 61
1 . 9
3) +29 _50
21 21
___ ___
50 29
Запомни! Сложение проверяем вычитанием, вычитание поверяем сложением.