М
Молодежь
К
Компьютеры-и-электроника
Д
Дом-и-сад
С
Стиль-и-уход-за-собой
П
Праздники-и-традиции
Т
Транспорт
П
Путешествия
С
Семейная-жизнь
Ф
Философия-и-религия
Б
Без категории
М
Мир-работы
Х
Хобби-и-рукоделие
И
Искусство-и-развлечения
В
Взаимоотношения
З
Здоровье
К
Кулинария-и-гостеприимство
Ф
Финансы-и-бизнес
П
Питомцы-и-животные
О
Образование
О
Образование-и-коммуникации
goldin1337
goldin1337
23.12.2020 05:03 •  Математика

Даны координаты точек а(-3; 1; -1) и в(2; -4; 1). вычислить длину вектора

👇
Ответ:
Ренчик223
Ренчик223
23.12.2020

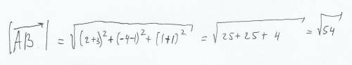
Решение во вложении.


Даны координаты точек а(-3; 1; -1) и в(2; -4; 1). вычислить длину вектора
4,7(42 оценок)
Открыть все ответы
Ответ:
1) Превращаем числа в десятичные дроби:
2+785/1000 = 2+0,785= 2,785;
2,904 (это число и так представлено в виде десятичной дроби);
27/10,2+98/100 = (27:10,2) + 0,98= 2,6470588235 + 0,98= 3,6270588235;
1+199/100= 200/100= 2;
2715/1000= 2,715;
2+7/10+4/100= (2+0,7)+(0,04) =2,7+0,04= 2,74;
2 (это число и так представлено в виде десятичной дроби);

Расставляем десятичные дроби в убывающем порядке:
3,6270588235; 2,904; 2,785; 2,74; 2,715; 2; 2.

2) Расставляем десятичные дроби в порядке возрастания:
3,01; 3,09; 3,1; 3,101; 13,1; 13,14.
4,5(98 оценок)
Ответ:
ErnurNick
ErnurNick
23.12.2020
Дано: сторона основания правильной треугольной пирамиды a = 6 см, а высота H= √13 см. 

Находим апофему А. Её проекция ОА на основание равна (1/3)h, где h - высота основания.
h = a*sin 60° = 6*(√3/2) = 3√3 см. 
ОА = (1/3)*(3√3) = √3 см.
Тогда апофема А = √(ОА² + Н²) = √((√3)² + (√13)²) = √16 = 4 см.
Периметр основания Р = 3а = 3*6 = 18 см.
Площадь боковой поверхности Sбок = (1/2)РА = (1/2)*18*4 = 36 см².
Площадь основания Sо = а²√3/4 = 36*√3/4 = 9√3 см².
Площадь S полной поверхности пирамиды равна: 
S = So + Sбок = 9√3+36 = 9(4 + √3) см².
4,8(58 оценок)
Новые ответы от MOGZ: Математика
logo
Вход Регистрация
Что ты хочешь узнать?
Спроси Mozg
Открыть лучший ответ