М
Молодежь
К
Компьютеры-и-электроника
Д
Дом-и-сад
С
Стиль-и-уход-за-собой
П
Праздники-и-традиции
Т
Транспорт
П
Путешествия
С
Семейная-жизнь
Ф
Философия-и-религия
Б
Без категории
М
Мир-работы
Х
Хобби-и-рукоделие
И
Искусство-и-развлечения
В
Взаимоотношения
З
Здоровье
К
Кулинария-и-гостеприимство
Ф
Финансы-и-бизнес
П
Питомцы-и-животные
О
Образование
О
Образование-и-коммуникации
vladwf111
vladwf111
01.12.2021 14:26 •  Математика

Решите уравнение ! x/20+x/-6=4целых одна вторая

👇
Ответ:
Alterabars
Alterabars
01.12.2021
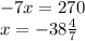
\frac{x}{20} + \frac{x}{ - 6} = 4 \frac{1}{2} \\

Уходим от знаменателя:
3x - 10x = 270

Упрощаем и решаем:
- 7x = 270 \\ x = - 38 \frac{4}{7}
4,4(85 оценок)
Открыть все ответы
Ответ:
vazhnenko912
vazhnenko912
01.12.2021
Вназвании храма: у христиан - церковь, а у мусульман - мечеть. 2. купола христианских храмов увенчены крестом, а мусульманских - полумесяцем. 3. в мечетях нет изображений живых существ (животных и человека) . это имеет глубокий религиозный смысл: не отвлекаться от молитвы направленной к аллаху. 4. мечеть украшается и растительными орнаментами, надписями арабским шрифтом. 5. рядом с мечетью строиться минарет. мусульмане призывают к молитве пением с верхушки минарета. у христиан – колокольным звоном.
4,8(18 оценок)
Ответ:
Основные причины возникновения чс:   • внутренние: сложность технологий, недостаточная квалификация персонала, проектно-конструкторские недоработки, и моральный износ оборудования, низкая трудовая и технологическая дисциплина;   • внешние: стихийные бедствия, неожиданное прекращение подачи электроэнергии, газа, технологических продуктов, терроризм, войны.              чс могут произойти при следующих обстоятельствах:   • наличие источника риска (давление, взрывчатые вещества, радиоактивные вещества);   • действие факторов риска (выброс газа, взрыв, возгорание); • нахождение в очагах поражения людей, сельскохозяйственных животных и угодий.              анализ причин и хода развития чс различного характера выявил их общую черту — стадийность. можно выделить пять стадий (периодов) развития чс:   • накопление отрицательных эффектов, приводящих к аварии;   • период развития катастрофы;   • экстремальный период, при котором выделяется основная доля энергии;   • период затухания;   • период ликвидации последствий.              в рф действует много крупных производств, потенциально опасных для населения и окружающей среды, а уровень технологий, контроля и дисциплины на них в результате стремительного падения производства снизился до критической черты. кризис только усугубил ситуацию, а к проблеме безопасности присоединились экологические.              анализ чрезвычайных ситуаций, имевших место в россии за последние годы, позволил выделить причины аварийности и травматизма:   • человеческий фактор — 50,1%;   • оборудование, техника — 18,1%;   • технология выполнения работ — 7,8%;   • условия внешней среды — 16,6%;   • прочие факторы — 7,4%.              в табл. 5.2 показано распределение факторов аварийности и травматизма.              как видно из данных табл. 5.2, в настоящее время заметно возрос удельный вес аварий, происходящих из-за неправильных действий обслуживающего технического персонала (более 50%). часто это связано с недостаточностью профессионализма, а также неумением принимать оптимальные решения в сложной критической обстановке в условиях дефицита времени.              аварии и катастрофы в рф нередко являются следствием ведомственно-технократической стратегии, приводящей к сооружению объектов с заведомо отсталой технологией, и средств на обеспечение необходимой безопасности. довольно часто такая стратегия предопределяет строительство предприятий в местах, уязвимых в социально- отношении (например, близость населенных пунктов, особая хрупкость экосистем).             в итоге рф ежегодно тратит на ликвидацию последствий различного рода чс 1-2% валового продукта. в будущем эта доля может вырасти до 4-5%, что превысит такие статьи расходов, как здравоохранение и охрана окружающей среды, вместе взятые. 
4,7(25 оценок)
Это интересно:
Новые ответы от MOGZ: Математика
logo
Вход Регистрация
Что ты хочешь узнать?
Спроси Mozg
Открыть лучший ответ