М
Молодежь
К
Компьютеры-и-электроника
Д
Дом-и-сад
С
Стиль-и-уход-за-собой
П
Праздники-и-традиции
Т
Транспорт
П
Путешествия
С
Семейная-жизнь
Ф
Философия-и-религия
Б
Без категории
М
Мир-работы
Х
Хобби-и-рукоделие
И
Искусство-и-развлечения
В
Взаимоотношения
З
Здоровье
К
Кулинария-и-гостеприимство
Ф
Финансы-и-бизнес
П
Питомцы-и-животные
О
Образование
О
Образование-и-коммуникации
Ididhhxj
Ididhhxj
19.06.2020 21:38 •  Математика

Определить, какому промежутку принадлежит сумма корней: корень из 2х-3 = 4-х. ответ от (2,5; 3,5) нужен ход решения,

👇
Ответ:
Motia2k17
Motia2k17
19.06.2020

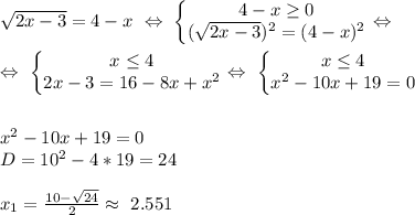
\sqrt{2x-3} =4-x \ \Leftrightarrow \ \left\{\begin{matrix} 4-x\geq0\\ (\sqrt{2x-3} )^2=(4-x)^2\end{matrix}\right. \Leftrightarrow \ \\ \\ \Leftrightarrow \ \left\{\begin{matrix} x\leq4\\ 2x-3=16-8x+x^2\end{matrix}\right. \Leftrightarrow \ \left\{\begin{matrix} x\leq4\\ x^2-10x+19=0\end{matrix}\right. \\ \\\\ x^2-10x+19=0 \\ D=10^2-4*19=24 \\ \\ x_1= \frac{10-\sqrt{24}}{2} \approx \ 2.551


x_1= \frac{10+\sqrt{24}}{2} \approx \ 7.449 - не удовлетворяет условию x≤4


Таким образом уравнение имеет один корень


x_1= \frac{10-\sqrt{24}}{2}


соответственно и сумма корней равна x₁


ОТВЕТ: (2,5;3,5)

4,4(53 оценок)
Открыть все ответы
Ответ:
Hondok13
Hondok13
19.06.2020

Пословицы:

1.Земля кормит людей, как мать детей.
2.Поклонись матушке-землице, наградит тебя сторицей.                                                 3.Земля – кормилица, а и та есть просит.                                                                             4.Нет плохой земли, есть плохие хозяева
5.Труженику земля – мать родная.
6.Земелька чёрненька – а белый хлеб родит.

Загадки:

1.По чему человек ходит, а черепаха ползает?

2.Не человек – а пьёт, не стряпуха – а накормит.

3.Дождь льёт, она пьёт, всё зеленеет да растёт.

4.Она, что тарелка, что положишь, то и возьмёшь.

5.Всех и вскормит и вспоит, и угодьем наделит.

4,5(40 оценок)
Ответ:
amirking
amirking
19.06.2020
Значит так, скорость незнайки примем за х, скорость винтика тогда - 2х, скорость тюбика примем за у, скорость шпунтика - 3у. Так как встретились они в одно время, и каждая пара проделала одинаковый путь, приравниваем сумму их скоростей:  х+3у=у+2х после решения уравнения получаем: х=2у. подставляем его в скорость незнайки и винтика: скорость незнайки- 2у,  скорость винтика - 4у, получается у нас такая примерно фигня:                               Незнайка(2у) >              <Шпунтик(3уЦветочный город Солнечный город                                Винтик(4у) >                   <Тюбик(у) Совершенно очевидно, что встреча Шпунтика с незнайкой произошла ближе к цветочному городу, так как у Шпунтика скорость больше чем у Незнайки, а у Тюбика Меньше)
, чем у винтика.
4,4(2 оценок)
Это интересно:
Новые ответы от MOGZ: Математика
logo
Вход Регистрация
Что ты хочешь узнать?
Спроси Mozg
Открыть лучший ответ