всего 576 таких чисел.
1) обозначим первую цифру через x, она не может быть нулем, поэтому возможно 9 вариантов выбора
2) другую цифру обозначим через y, ее тоже можно выбирать она может быть нулем, но не может быть равна x)
3) нужно отдельно рассмотреть три случая: xy··, xxy· и xxx·; для каждого из этих случаев нужно подсчитать количество вариантов и эти числа сложить
4)в варианте xy·· две последних цифры могут быть (независимо друг от друга) выбраны равными x или y (по 2 варианта выбора)
поэтому всего получаем 9·9·2·2 = 324 варианта
5)в варианте xxy· последняя цифра может быть равна только x или y (2 варианта)
поэтому всего получаем 9·1·9·2 = 162 варианта
6)в варианте xxx· последняя цифра может быть любой (10 вариантов)
поэтому всего получаем 9·1·1·10 = 90 вариантов
7) общее количество вариантов равно сумме
324 + 162 + 90 = 576
Всю эту работу можно нарисовать с таблицы, но если нужен просто ответ- то 576 чисел
всего 576 таких чисел.
1) обозначим первую цифру через x, она не может быть нулем, поэтому возможно 9 вариантов выбора
2) другую цифру обозначим через y, ее тоже можно выбирать она может быть нулем, но не может быть равна x)
3) нужно отдельно рассмотреть три случая: xy··, xxy· и xxx·; для каждого из этих случаев нужно подсчитать количество вариантов и эти числа сложить
4)в варианте xy·· две последних цифры могут быть (независимо друг от друга) выбраны равными x или y (по 2 варианта выбора)
поэтому всего получаем 9·9·2·2 = 324 варианта
5)в варианте xxy· последняя цифра может быть равна только x или y (2 варианта)
поэтому всего получаем 9·1·9·2 = 162 варианта
6)в варианте xxx· последняя цифра может быть любой (10 вариантов)
поэтому всего получаем 9·1·1·10 = 90 вариантов
7) общее количество вариантов равно сумме
324 + 162 + 90 = 576
Всю эту работу можно нарисовать с таблицы, но если нужен просто ответ- то 576 чисел
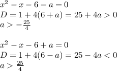
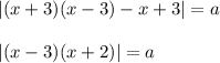
Если а = 0, то уравнение имеет два корня х1=3 и х2=-2.
Поскольку левая часть уравнения неотрицательно, а правая может быть так и отрицательно, так и положительно.
При условии, что a>0 возводим левую и правую части уравнения в квадрат.
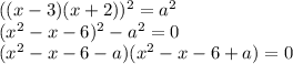
Произведение равно нулю, если хотя бы один из множителей равен нулю. Первый множитель и второй множитель - квадратный трехчлен, а нам нужно чтобы один из этих уравнений имел ровно два корня.
или
ОТВЕТ: