М
Молодежь
К
Компьютеры-и-электроника
Д
Дом-и-сад
С
Стиль-и-уход-за-собой
П
Праздники-и-традиции
Т
Транспорт
П
Путешествия
С
Семейная-жизнь
Ф
Философия-и-религия
Б
Без категории
М
Мир-работы
Х
Хобби-и-рукоделие
И
Искусство-и-развлечения
В
Взаимоотношения
З
Здоровье
К
Кулинария-и-гостеприимство
Ф
Финансы-и-бизнес
П
Питомцы-и-животные
О
Образование
О
Образование-и-коммуникации
Andrei2111111
Andrei2111111
28.02.2023 08:52 •  Математика

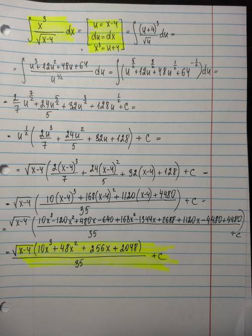
7найти неопределенный интеграл подробное решение

👇
Ответ:
silverg2005p00xxj
silverg2005p00xxj
28.02.2023

Ловите решение. Решение подстановкой, потом разворачиваем сумму кубов и делим на корень. К каждому интегралу дальше применяем правило интегрирования степенной функции, упрощаем результат. Удачи !


7найти неопределенный интеграл подробное решение
4,7(32 оценок)
Открыть все ответы
Ответ:
даша3644
даша3644
28.02.2023
А) у сім'ї все званого гранд-гранд.  б) він шукав скрізь.  с) коли він був молодий, він хотів бути клоуном.  d) ona подзвонив в поліцію, вони телефон, для всіх.  е) він любив цирк.  f) одного разу мій дід не повернувся в будинок.  g) по-перше, тому що він був з дуже великого розміру, а потім, тому gu'il був дід  h) ми помістити оголошення в газеті.  я) це був дуже тихий джентльмен і дуже серйозна, але любив сміятися і веселитися  j) але дід не повернувся.  к) вмі - навіть, це було речі: він прийшов різнокольоровий хустку з кишені і карт має рукава.    l) так, тато детектив, який був найкращим detectivede міста
4,5(21 оценок)
Ответ:
myisipov1erg
myisipov1erg
28.02.2023

Кроссворд на тему "Личная безопасность":

Вопросы :

1. Травма, в результате которой появляется синяк.

2. Болезнь, вызванная вредными микробами.

3. Средство для дезинфекции раны.

4. Попадание ядовитых веществ в организм.

5. Глубокая рана на теле, нанесенная чем-то тонким и острым.

6. Специалист по оказанию медицинской Легкое повреждение кожного покрова.

8. Невосприимчивость к болезни.

9. Возбудитель болезни.

10. Предмет, который применяется для наложения шины.

11. Место хранения лекарственных препаратов.

12. Вещество в градуснике.

ответы:

1. Ушиб.

2. Инфекция.

3. Зеленка.

4. Отравление.

5. Порез.

6. Врач.

7. Ссадина.

8. Иммунитет.

9. Микроб.

10. Доска.

11. Аптечка.

12. Ртуть.

4,8(23 оценок)
Новые ответы от MOGZ: Математика
logo
Вход Регистрация
Что ты хочешь узнать?
Спроси Mozg
Открыть лучший ответ