М
Молодежь
К
Компьютеры-и-электроника
Д
Дом-и-сад
С
Стиль-и-уход-за-собой
П
Праздники-и-традиции
Т
Транспорт
П
Путешествия
С
Семейная-жизнь
Ф
Философия-и-религия
Б
Без категории
М
Мир-работы
Х
Хобби-и-рукоделие
И
Искусство-и-развлечения
В
Взаимоотношения
З
Здоровье
К
Кулинария-и-гостеприимство
Ф
Финансы-и-бизнес
П
Питомцы-и-животные
О
Образование
О
Образование-и-коммуникации
Neuch18
Neuch18
23.07.2022 09:16 •  Математика

7^-1 *(1/49)^1/2 решите и объясните )

👇
Ответ:
cucuruza5
cucuruza5
23.07.2022
1


7^-1 *(1/49)^1/2 решите и объясните )
4,6(52 оценок)
Ответ:
ekaterina7201
ekaterina7201
23.07.2022

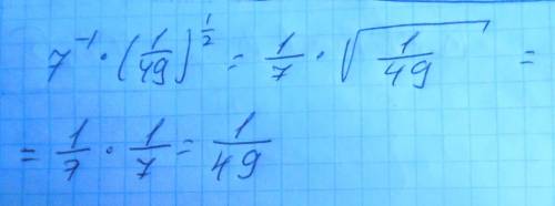
7⁻¹*(1/49)⁽¹/²⁾=1/7*√1/49=(1/7)*(1/7)=1/49

ответ: 1/49

4,8(33 оценок)
Открыть все ответы
Ответ:
)урок интересный, на нем мы считаем, все вместе примеры, решаем. циркуль, все точно — без всякой романтики. ну, что за урок? то прописи, тетради, авторучки скрип, пишет аккуратно каждый ученик. правила читаем, учим назубок. ну, , что же это за урок? ( язык)     читать научились на этом уроке.сперва по слогам, а теперь как хотим.мы учим легко стихотворные строки,рассказ от поэзии вмиг отличим,к нам с книгой приходит само вдохновение, и все на уроке каком же? (чтения)играем мы на ксилофонеи песни разные поем,сонаты слушаем, симфонии, довольно весело живем. (музыка)
4,7(30 оценок)
Ответ:
sogianachkebia
sogianachkebia
23.07.2022
)урок интересный, на нем мы считаем, все вместе примеры, решаем. циркуль, все точно — без всякой романтики. ну, что за урок? то прописи, тетради, авторучки скрип, пишет аккуратно каждый ученик. правила читаем, учим назубок. ну, , что же это за урок? ( язык)     читать научились на этом уроке.сперва по слогам, а теперь как хотим.мы учим легко стихотворные строки,рассказ от поэзии вмиг отличим,к нам с книгой приходит само вдохновение, и все на уроке каком же? (чтения)играем мы на ксилофонеи песни разные поем,сонаты слушаем, симфонии, довольно весело живем. (музыка)
4,6(49 оценок)
Это интересно:
Новые ответы от MOGZ: Математика
logo
Вход Регистрация
Что ты хочешь узнать?
Спроси Mozg
Открыть лучший ответ