М
Молодежь
К
Компьютеры-и-электроника
Д
Дом-и-сад
С
Стиль-и-уход-за-собой
П
Праздники-и-традиции
Т
Транспорт
П
Путешествия
С
Семейная-жизнь
Ф
Философия-и-религия
Б
Без категории
М
Мир-работы
Х
Хобби-и-рукоделие
И
Искусство-и-развлечения
В
Взаимоотношения
З
Здоровье
К
Кулинария-и-гостеприимство
Ф
Финансы-и-бизнес
П
Питомцы-и-животные
О
Образование
О
Образование-и-коммуникации
galitskovao
galitskovao
15.10.2021 17:49 •  Математика

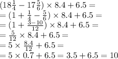
Найдите значение выражений (18целых1/4-17целых5/6)*8,4+6,5

👇
Ответ:
tihayasonyap0c4ug
tihayasonyap0c4ug
15.10.2021

Решение внизу на фото


Найдите значение выражений (18целых1/4-17целых5/6)*8,4+6,5
4,7(22 оценок)
Ответ:
ipadsanya
ipadsanya
15.10.2021
(18 \frac{1}{4} - 17 \frac{5}{6} ) \times 8.4 + 6.5 = \\ = (1 + \frac{1}{4} - \frac{5}{6} )\times 8.4 + 6.5 = \\ = (1 + \frac{3 - 10}{12}) \times 8.4 + 6.5 = \\ = \frac{5}{12} \times 8.4 + 6.5 = \\ = 5 \times \frac{8.4}{12} + 6.5 = \\\ = 5 \times 0.7 + 6.5 = 3.5 + 6.5 = 10
4,6(56 оценок)
Открыть все ответы
Ответ:
lizasergeeva001
lizasergeeva001
15.10.2021

Шёлк зародился в Китае.

Мифы о шёлке:

Впервые секрет изготовления шелка был открыт в Китае пять тысяч лет назад.

Древняя легенда гласит, что однажды 14-летняя Си Линг Чи, жена третьего императора Китая Хуан Ди, которого называли еще «Желтым императором» , в саду дворца под кроной тутового дерева пила чай и в ее чашку с чаем с дерева упал кокон шелкопряда.

Юная императрица и ее служанки были крайне удивлены, увидев, как в горячей воде кокон начал разворачиваться, выпустив тонкую шелковую нить. Заинтересовавшись, девушка стала наблюдать, как разворачивался кокон.

Си Линг Чи была так поражена красотой и прочностью шелковой нити, что собрала тысячи коконов и из них соткала императору одежду.

Так крошечная бабочка-шелкопряд подарила всему человечеству шелк, а императрица в благодарность за столь ценный подарок была возведена в ранг божества.

Пошаговое объяснен

4,4(53 оценок)
Ответ:
Если рассматривать числа с разными цифрами, то: 
Десятичная запись такого числа имеет вид: 10*Х+У. 
При делении на Х получаем 10+У/Х - целое. 
Значит У/Х - целое. Обозначим его к. Тогда У=к*Х. 
Значит число имеет вид 10*Х+к*Х. 
При делении на У=к*Х получаем (10+к) /к=10/к+1 - целое. 
Значит 10/к - целое, к может быть равно или 2 или 5. 
При к=5 Х может быть только 1, а У=5, т. е число 15. 
При к=2 Х может принимать значения 1, 2, 3, 4. 
Это числа 12, 24, 36, 48. 
Если рассматривать числа с одинаковыми цифрами, то это могут быть 11, 22, 33, 44, 55, 66, 77, 88, 99. 
Но скорее всего имеются в виду числа с разными цифрами: 12, 15, 24, 36, 48.
4,4(98 оценок)
Это интересно:
Новые ответы от MOGZ: Математика
logo
Вход Регистрация
Что ты хочешь узнать?
Спроси Mozg
Открыть лучший ответ