М
Молодежь
К
Компьютеры-и-электроника
Д
Дом-и-сад
С
Стиль-и-уход-за-собой
П
Праздники-и-традиции
Т
Транспорт
П
Путешествия
С
Семейная-жизнь
Ф
Философия-и-религия
Б
Без категории
М
Мир-работы
Х
Хобби-и-рукоделие
И
Искусство-и-развлечения
В
Взаимоотношения
З
Здоровье
К
Кулинария-и-гостеприимство
Ф
Финансы-и-бизнес
П
Питомцы-и-животные
О
Образование
О
Образование-и-коммуникации
20Sascha07
20Sascha07
30.05.2020 13:16 •  Математика

Один катет прямоугольного треугольника равен 18, а медиана, опущенная на него 15 найти гипотенузу

👇
Ответ:
Ekaterina2019
Ekaterina2019
30.05.2020
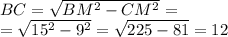
См рисунок
AM=CM=AC/2=9

рассмотрим
∆ВМС - он прямоугольный
и для него справедлива
т Пифагора

BM²=BC²+СМ²
откуда
BC = \sqrt{BM^{2} -CM^{2} } = \\ = \sqrt{15^{2} - {9}^{2} } = \sqrt{225 - 81} = 12

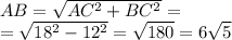
∆АBC тоже прямоугольный
и для него справедлива
т Пифагора

AB²=AC²+BC²
AB= \sqrt{AC ^{2} +BC^{2}} = \\ = \sqrt{18 ^{2} -12 ^{2} } = \sqrt{180} = 6 \sqrt{5}

Один катет прямоугольного треугольника равен 18, а медиана, опущенная на него 15 найти гипотенузу
4,7(69 оценок)
Открыть все ответы
Ответ:
1) Произвольное комплексное число z в алгебраической форме:
z = a + b*i
Оно же в тригонометрической форме:
z = r*(cos Ф + i*sin Ф)
Здесь r = √(a^2 + b^2); Ф = arctg(b/a)

2) z = 1 - i
a = 1; b = -1; r = √(1^2 + (-1)^2) = √2; Ф = arctg(-1/1) = -pi/4
z = √2*(cos(-pi/4) + i*sin(-pi/4))

3) z= \frac{2 \sqrt{2} }{1+i}
Сначала представим z в обычном алгебраическом виде:
Для этого умножим числитель и знаменатель на комплексно-сопряженное.
z= \frac{2 \sqrt{2}(1-i) }{(1+i)(1-i)} = \frac{2 \sqrt{2}(1-i)}{1-i^2} = \frac{2 \sqrt{2}(1-i)}{2} =\sqrt{2}(1-i)=\sqrt{2}-i\sqrt{2}
Теперь переведем его в тригонометрическую форму
z=\sqrt{2}-i\sqrt{2}=2( \frac{1}{ \sqrt{2} } -i* \frac{1}{ \sqrt{2} } )=2(cos(- \frac{ \pi }{4})+i*sin(- \frac{ \pi }{4} ) )
Здесь нам номер 2), в котором мы уже представляли 1 - i.
По формуле Муавра для степени и корня комплексного числа:
z^n = r^n*(cos(n*Ф) + i*sin(n*Ф))
z^3=2^3(cos(- \frac{3 \pi }{4} )+i*sin(- \frac{3 \pi }{4} ))=8(- \frac{ \sqrt{2} }{2} -i \frac{ \sqrt{2} }{2} )=-4 \sqrt{2}-4i \sqrt{2}
4,7(23 оценок)
Ответ:
mayoll
mayoll
30.05.2020
Сначала как правило надо подготовиться морально:настроить себя)После следуется узнать погоду в том регионе в котором вы будете и подготовить вещи, договориться о жилье и о питании.если вы хотите без отелей, то возьмите палатку и нескоропортеющейся еды, а так же деньги.Выезжать следует не одной а сдрузьями или родственниками,стоит ознакомиться с техникой безопасности.Если у вас морская болезнь следует просмотреть в интернете предотвращения её, и за неделю до выезда не употреблять спиртное и жирную пищу,это все что я знаю об этом)))Удачи с уроками!)
4,5(26 оценок)
Это интересно:
Новые ответы от MOGZ: Математика
logo
Вход Регистрация
Что ты хочешь узнать?
Спроси Mozg
Открыть лучший ответ