М
Молодежь
К
Компьютеры-и-электроника
Д
Дом-и-сад
С
Стиль-и-уход-за-собой
П
Праздники-и-традиции
Т
Транспорт
П
Путешествия
С
Семейная-жизнь
Ф
Философия-и-религия
Б
Без категории
М
Мир-работы
Х
Хобби-и-рукоделие
И
Искусство-и-развлечения
В
Взаимоотношения
З
Здоровье
К
Кулинария-и-гостеприимство
Ф
Финансы-и-бизнес
П
Питомцы-и-животные
О
Образование
О
Образование-и-коммуникации
Никита92111
Никита92111
24.10.2020 09:49 •  Математика

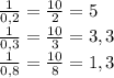
Как вычислить дробь? 1/0,2 = 5, 1/0,3 = 3,3 , 1/0,8 = 1,3 как объяснить решение?

👇
Ответ:
golubinbogdab
golubinbogdab
24.10.2020

\frac{1}{0,2} = \frac{10}{2} = 5\\\frac{1}{0,3} = \frac{10}{3} = 3,3\\\frac{1}{0,8} = \frac{10}{8} = 1,3

Если умножить и числитель  и знаменатель дроби на одно и тоже число, то результат дроби не помняется

4,6(47 оценок)
Ответ:
Pavel1810
Pavel1810
24.10.2020

1/0,2=10/2=5

1/0,3=10/3=3,3

1/0,8=10/8=1,3

Пояснения к ответу :

/-дробь

4,7(16 оценок)
Открыть все ответы
Ответ:
YanaTsaruk
YanaTsaruk
24.10.2020

ответ: min(f, D) = 0, max(f, D) = 3/2

Пошаговое объяснение:

минимум 0 - очевидно (x=0, y = 0 и для любых x, y из D x>=0, y>=0).

xy - площадь прямоугольника со сторонами x, y. Значит, нам нужно "вписать" внутрь треугольника прямоугольник максимальной площади. Ясно, что одна из вершин (а конкретнее - точка (x; y)) должна лежать на гипотенузе BC. Найдем уравнение гипотенузы. Уравнение в отрезках x/2+y/3 = 1, откуда y = -3/2*x+3. Заметим, что т.к. (x; y) лежит на этой прямой, то верно равенство xy=-3/2x^2+3x - парабола с ветвями вверх => достигает максимального значения в вершине x0 = -3/(-2*3/2) = 1 =>xy=-3/2+3 = 3/2.

4,8(59 оценок)
Ответ:
gggrrraaa
gggrrraaa
24.10.2020
1) Сначала найдём область D.
Это треугольник, его углы:
A(-4; 3); B(-4; -4); C(3; 3).
2) Теперь ищем экстремумы функции.
Необходимое условие: обе частные производные равны 0.
dz/dx=-y+1=0; y=1
dz/dy=-x-2=0; x=-2
Точка M(-2; 1) попадает в область D.
3) Достаточное условие.
A=d2z/dx^2=0
B=d2z/(dxdy)=-1
C=d2z/dy^2=0
D=A*C-B^2=0*0-(-1)^2=-1<0
Экстремума в этой точке нет.
Это седловая точка.
На всякий случай найдём значение в ней.
z(M)=-(-2)*1-2-2*1+4=2-2-2+4=2
4) Наибольшие и наименьшие значения имеет смысл искать в углах треугольника.
В остальных точках функция возрастает или убывает.
z(A)=-(-4)*3-4-2*3+4=12-4-6+4=6
z(B)=-(-4)(-4)-4-2(-4)+4=-16-4+8+4=-8
z(C)=-3*3+3-2*3+4=-9+3-6+4=-8
Очевидно, в т.А максимум, а в т.В и т.С минимумы.
4,7(51 оценок)
Это интересно:
Новые ответы от MOGZ: Математика
logo
Вход Регистрация
Что ты хочешь узнать?
Спроси Mozg
Открыть лучший ответ