М
Молодежь
К
Компьютеры-и-электроника
Д
Дом-и-сад
С
Стиль-и-уход-за-собой
П
Праздники-и-традиции
Т
Транспорт
П
Путешествия
С
Семейная-жизнь
Ф
Философия-и-религия
Б
Без категории
М
Мир-работы
Х
Хобби-и-рукоделие
И
Искусство-и-развлечения
В
Взаимоотношения
З
Здоровье
К
Кулинария-и-гостеприимство
Ф
Финансы-и-бизнес
П
Питомцы-и-животные
О
Образование
О
Образование-и-коммуникации
Selid
Selid
11.12.2020 12:47 •  Математика

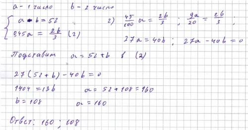
Разность двух чисел равна 52. если 0,45 большего числа равна 2/3 меньшего. найти числа

👇
Ответ:
ademausag
ademausag
11.12.2020

Добрый день! Решение см. фото

ответ: 160; 108


Разность двух чисел равна 52. если 0,45 большего числа равна 2/3 меньшего. найти числа
4,7(75 оценок)
Открыть все ответы
Ответ:
оркп
оркп
11.12.2020
1. Решить уравнение:
5х+4=34

5х=34-4

5х=30

Х=30:5

Х=6

Проверка

5•6+4+30+4=34


2. Решите пример найдите все делители для полученного числа:

20,5 * 0,4 + 21,76 : 3,2= 8,2+ 6,8= 15

15:1=15; 15:3=5; 15:5=3;

делители 15 (1;3;5;15)


3. Дано число 21945. Вычеркните в данном числе

а) одну цифру так, чтобы полученное число делилось на 2;

Число должно заканчивается на четную (0,2,4,6,8) тогда делится на 2;

21945 вычеркиваем 5; будет число 2194.


б) две цифры так, чтобы полученное число делилось на 9.

Надо чтобы сумма цифр числа делилась на 9, тогда и число поделится

21945; сумма 2+1+9+4+5= 21 не делится, надо две цифры зачеркнуть; ближайшее делится 18;

Вычитаем лишние 21-2=19; и 19-1=18;
вычеркиваем цифры 2 и 1; получили число 945; сумма 9+4+5=18 делится


4. Запишите все правильные дроби со знаменателем 12, в которых числитель и знаменатель - взаимно простые числа.

Взаимно простые числа это если у них делитель общий только единица

Делители 12; (1;2;3;4;6;12);

Единица для всех чисел делитель, её можно не писать

Значит выписываем оставшиеся цифры от1 до 12, что не в делителе 12;

(5;7;8;9;10;11)

Делители 8 (1;2;4;8) общие 2,4 не подходит

Делители 9(1;3;9) общие 3; не подходит;

Делители 10 (1;2;5;10) общие 2; не подходит

Остались (5;7;11) нет общих делителей

ответ: 5/12; 7/12; 11/12;


5. Из свежих фруктов после сушки получается 18% сушеных. Сколько сушеных фруктов получится из 85 кг свежих?

85кг100%

Х18%

100%•Х=85•18%

Х= 85•18%/100%

Х= 85•0,18

Х=15,3

ответ: из 85кг свежих фруктов получится 15,3кг сушеных
4,7(13 оценок)
Ответ:
jiohjb
jiohjb
11.12.2020

сделаю часть:

1. ответ Б) 4/9 (8 - 7 5/9 = 4/9);

 

2. от вет А) запятая поставлена не в том месте - 14,112 (420 = 100%, х = 28%, х = 420*28:100 = 117,6; далее 117,6 = 100%, х = 12%, х = 117,6*12:100 = 14,112);

 

5. ответ Г) 7 (В букете число красных цветов составляет 1/6 от числа жёлтых, т.е. 1 красный + 6 желтых. Когда из букета убрали 1 жёлтый цветок, число красных цветов составило 20% от числа жёлтых: 1 красный + 5 желтых, а 1/5 = 20%).

 

7. ответ В) 3 (4(1,5 - 3х) - 1,2(2,5 - 15х) = 3 + 6х).

 

9. ответ Г) -13 (-7-6-5-4-3-2-1+1+2+3+4+5 = -28 + 15 = -13).

 

дальше не знаю

4,5(47 оценок)
Это интересно:
Новые ответы от MOGZ: Математика
logo
Вход Регистрация
Что ты хочешь узнать?
Спроси Mozg
Открыть лучший ответ