М
Молодежь
К
Компьютеры-и-электроника
Д
Дом-и-сад
С
Стиль-и-уход-за-собой
П
Праздники-и-традиции
Т
Транспорт
П
Путешествия
С
Семейная-жизнь
Ф
Философия-и-религия
Б
Без категории
М
Мир-работы
Х
Хобби-и-рукоделие
И
Искусство-и-развлечения
В
Взаимоотношения
З
Здоровье
К
Кулинария-и-гостеприимство
Ф
Финансы-и-бизнес
П
Питомцы-и-животные
О
Образование
О
Образование-и-коммуникации
CasDavis
CasDavis
20.12.2020 12:28 •  Математика

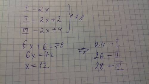
Сумма трех последовательных чётных чисел равно 78. напишите решение

👇
Ответ:
livadin3105
livadin3105
20.12.2020

https://ru-static.z-dn.net/files/db8/e9cbb57dfa51c8a39a540d15a3cb4c8f.jpg


Сумма трех последовательных чётных чисел равно 78. напишите решение
4,6(73 оценок)
Открыть все ответы
Ответ:
AgsHiNN05I
AgsHiNN05I
20.12.2020
1) Ленту длинной 624 м разрезали на две части , одна из которых в 5 раз короче другой . Найдите длину первой части .
624:5=124,8м первая часть
624-124,8=499,2м вторая часть

2) В автопарке грузовых машин было в 5 раз больше , чем легковых . После того как в рейс вышло 58 грузовых машин и 15 легковых , в автопарке осталось грузовых машин на 61 больше , чем легковых . Сколько легковых и сколько грузовых машин было в автопарке с начала?
xлегковых
5xгрузовых
5x-58 осталось грузовых
x-15осталось легковых
5x-58=x-15+61
5x-x=61-15+58
4x=104
x=104:4
x=26 легковых машин было  с начала
26*5=130 грузовых было в атопарке с начала
4,6(17 оценок)
Ответ:
abbasova05
abbasova05
20.12.2020
1) Ленту длинной 624 м разрезали на две части , одна из которых в 5 раз короче другой . Найдите длину первой части .
624:5=124,8м первая часть
624-124,8=499,2м вторая часть

2) В автопарке грузовых машин было в 5 раз больше , чем легковых . После того как в рейс вышло 58 грузовых машин и 15 легковых , в автопарке осталось грузовых машин на 61 больше , чем легковых . Сколько легковых и сколько грузовых машин было в автопарке с начала?
xлегковых
5xгрузовых
5x-58 осталось грузовых
x-15осталось легковых
5x-58=x-15+61
5x-x=61-15+58
4x=104
x=104:4
x=26 легковых машин было  с начала
26*5=130 грузовых было в атопарке с начала
4,6(52 оценок)
Это интересно:
Новые ответы от MOGZ: Математика
logo
Вход Регистрация
Что ты хочешь узнать?
Спроси Mozg
Открыть лучший ответ