
РАЗГОВОР О МАМЕ!
От чистого сердца,
Простыми словами
Давайте, друзья,
Потолкуем о маме.
Мы любим её,
Как хорошего друга,
За то, что у нас
С нею всё сообща,
За то, что, когда
Нам приходится туго,
Мы можем всплакнуть
У родного плеча.
Мы любим её и за то,
Что порою
Становятся строже
В морщинках глаза.
Но стоит с повинной
Прийти головою –
Исчезнут морщинки,
Умчится гроза.
За то, что всегда
Без утайки и прямо
Мы можем доверить
Ей сердце своё.
И просто за то,
Что она – наша мама,
Мы крепко и нежно
Любим её.
(Н. Саконская)
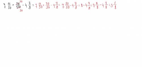
решение смотри внизу