М
Молодежь
К
Компьютеры-и-электроника
Д
Дом-и-сад
С
Стиль-и-уход-за-собой
П
Праздники-и-традиции
Т
Транспорт
П
Путешествия
С
Семейная-жизнь
Ф
Философия-и-религия
Б
Без категории
М
Мир-работы
Х
Хобби-и-рукоделие
И
Искусство-и-развлечения
В
Взаимоотношения
З
Здоровье
К
Кулинария-и-гостеприимство
Ф
Финансы-и-бизнес
П
Питомцы-и-животные
О
Образование
О
Образование-и-коммуникации
Dirol1337
Dirol1337
20.11.2022 04:24 •  Математика

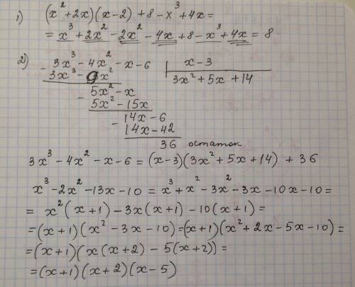
1)запишите многочлен в стандартном виде (x^2+2x)(x-2)+8-x^3+4x 2)выполни деление уголком многочлена 3x^3-4x^2-x-6 на x-3 3)разложите на множители многочлен x^3-2x^2-13x-10

👇
Ответ:
полнаума
полнаума
20.11.2022

ответ на фото///////////////


1)запишите многочлен в стандартном виде (x^2+2x)(x-2)+8-x^3+4x 2)выполни деление уголком многочлена
4,6(74 оценок)
Ответ:
mrvlad12
mrvlad12
20.11.2022

Второе задание невозможно решить, там х=3 не является корнем данного многочлена.


1)запишите многочлен в стандартном виде (x^2+2x)(x-2)+8-x^3+4x 2)выполни деление уголком многочлена
4,4(21 оценок)
Открыть все ответы
Ответ:
andry92526
andry92526
20.11.2022
Т.к. в 1м=10 дм, то 1м3 = 10 в кубе или 10*10*10 = 1000 дм3, тогда 30 м3 = 30 000 дм3,  знак равенства

1 дм = 10 см, тогда в 1дм3 = 10 в кубе или 10*10*10 = 1000 см3, 56 дм3 = 56 000 см3 - верно

1 га = 100 ар, 47 га = 4 700 ар , верно

в 1 км = 1000 м, тогда 750 км 90 м = 750 090 м, верно

в 1 т = 10 ц, тогда 80 т = 800 ц, знак =

В 1 км = 1000 м, а в 1 м = 1000 мм, т.е в 1 км 1 000 000 мм, тогда 125 км 780 м = 125780 м = 125 780 000 мм, знак =

В 1 м = 100 см, тогда в 1 м2 = 100 в квадрате или 100*100= 10 000 см2, получаем 2м2 7см2 = 20007 см2, верно

1 м = 10 дм, тогда 600м 38дм = 6000+38 = 6038 дм, знак >
4,4(83 оценок)
Ответ:
jannamkrtchyan
jannamkrtchyan
20.11.2022

5 - 9 классы 

 

Математика 

 

5 баллов

Решить уравнение Все По больше объяснений 

 

Следить 

 

Отметить нарушение

Ansar1Zhumadirov 30.10.2016

vse 6 uravnenij? 

5 ballov eto malo!! 

Войти чтобы добавить комментарий

ответ

ответ дан

anakarimova

1) (8x+5,2)/2,4=11/2

8x+5,2=(2,4*11)/2

8x+5,2=13,2

8x=8

x=1

2) 4/1,6=(7x-2)/10,4

7x-2=(4*10,4)/1,6

7x-2=26

7x=28

x=4

3) (x-0,2)/0,8=4,2/1,2

x-0,2=(0,8*4,2)/1,2

x-0,2=2,8

x=3

4) (3x+0,8)/9,6=4,8/3,6

3x+0,8=(9,6*4,8)/3,6

3x+0,8=12,8

3x=12

x=4

5) (5x+3)/9=27/13,5

5x+3=(9*27)/13,5

5x+3=18

5x=15

x=3

6) 8/20=28/(9x+7)

9x+7=(20*28)/8

9x+7=70

9x=63

x=7

Неограниченные возможности для обучения без рекламы со Знаниями Плюс

ПОПРОБУЙ СЕГОДНЯ

4.5

6 оценок Комментарии 

 

Отметить нарушение

ответ

ответ дан

Flash3146

8x+5,2/2,4=11/2

(8x+5,2)*2=2,4*11

16x+10,4=26,4

16x=26,4-10,4

16x=16:16

x=1

4/1,6=7x-2/10,4

10,4*4=(7x -2)*1,6

41,6=11,2x-3,2

-11,2x=-3,2-41,6

-11,2x=-44,8:(-11,2)

x=4

x-0,2/0,8=4,2/1,2

(x-0,2)*1,2=0,8*4,2

1,2x-0,24=3,36

1,2x=3,36+0,24

1,2x=3,6:1,2

x=3

3x+0,8/9,6=4,8/3,6

(3x+0,8)*3,6=9,6*4,8

10,8x+2,88=46,08

10,8x=46,08-2,88

10,8x=43,2:10,8

x=4

5x+3/9=27/13,5

(5x+3)*13,5=27*9

67,5x+40,5=243

67,5x=243-40,5

67,5x=202,5:67,5

x=3

8/20=28/9x+7

(9x+7)*8=28*20

72x+56=560

72x=560-56

72x=504:72

x=7

4,4(60 оценок)
Это интересно:
Новые ответы от MOGZ: Математика
logo
Вход Регистрация
Что ты хочешь узнать?
Спроси Mozg
Открыть лучший ответ