лес луг и пашня занимают 650 га. из них лес занимает 20% всей земли,8/13 оставшейся земли — пашня. сколько гектаров занимает луг?
20%=0,2лес луг и пашня занимают 650 га. из них лес занимает 20% всей земли,8/13 оставшейся земли — пашня. сколько гектаров занимает луг?
20%=0,2
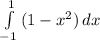
а) Найдем точки пересечения функции 1 - x^2 с осью OX
1 - x^2 = 0
x1 = -1
x2 = 1
Следовательно для нахождения площади криволинейной трапеции нам надо найти
Первообразная функции
равна 
Следовательно
б) Здесь пределы интегрирования определены, поэтому находим
Первообразная в этом случае: