М
Молодежь
К
Компьютеры-и-электроника
Д
Дом-и-сад
С
Стиль-и-уход-за-собой
П
Праздники-и-традиции
Т
Транспорт
П
Путешествия
С
Семейная-жизнь
Ф
Философия-и-религия
Б
Без категории
М
Мир-работы
Х
Хобби-и-рукоделие
И
Искусство-и-развлечения
В
Взаимоотношения
З
Здоровье
К
Кулинария-и-гостеприимство
Ф
Финансы-и-бизнес
П
Питомцы-и-животные
О
Образование
О
Образование-и-коммуникации
RepchatiLuchochek
RepchatiLuchochek
09.12.2020 07:26 •  Математика

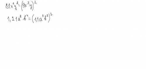
Запишите одночлен в виде квадрата другого одночлен 81x^6y^2; 1,21a^8b^4

👇
Ответ:
SlowMoe
SlowMoe
09.12.2020

смотри решение внизу.При возведении степени в степень поазатели перемножаются,поэтому мы делим показатели на 2 и записываем так


Запишите одночлен в виде квадрата другого одночлен 81x^6y^2; 1,21a^8b^4
4,4(4 оценок)
Открыть все ответы
Ответ:
круголс
круголс
09.12.2020
Вот решение. Сначала надо найти производную функции, затем её приравнять к нулю. Решить уравнение, найти Х. После чертим координатаную прямую на которой и отметим все точки Х. Потом берём числа после и перед точками Х, и подставляем в производную функции. если производная меньше нуля, значит функция на том отрезке убывает, а если больше то возрастает. В данном случае точка экстремумы только одна, и она равна -3,5. Левее неё функция убывает, а правее возрастает. следовательно точка -3,5 - точка минимума функции.
40 исследовать функцию на максимум и минимум с второй производной y=(x^2+7x-1) нужно полное решение
4,4(79 оценок)
Ответ:
AlexIQ161
AlexIQ161
09.12.2020
1) Инстинкт самосохранения видеть, слышать, чувствовать, расти, размножаться. Также, от природы нам дано тело, мозг, кровь и т. д.
к самопожертвованию ради других.
3) Когда человек делает, творит под влиянием вдохновения, воображения, когда деятельность требует его сообразительности и уникальности, но чтобы был творческий подход, эта деятельность должна нравиться человеку.
4) У каждого человека свои Их уровень можно развивать путем обучения. При упорном труде даже человек средних может достичь высокого результата могут никак не проявляться, если их не применять, а могут в этом случае исчезнуть. Но если развивать, то они могут принести огромную пользу обществу.
5) Если сидеть на одном месте и не развиваться, то о самореализации речи быть не может. Само слово это говорит о том, что нужно прикладывать какие-то усилия для воплощения в действительность.
4,8(28 оценок)
Это интересно:
Новые ответы от MOGZ: Математика
logo
Вход Регистрация
Что ты хочешь узнать?
Спроси Mozg
Открыть лучший ответ