М
Молодежь
К
Компьютеры-и-электроника
Д
Дом-и-сад
С
Стиль-и-уход-за-собой
П
Праздники-и-традиции
Т
Транспорт
П
Путешествия
С
Семейная-жизнь
Ф
Философия-и-религия
Б
Без категории
М
Мир-работы
Х
Хобби-и-рукоделие
И
Искусство-и-развлечения
В
Взаимоотношения
З
Здоровье
К
Кулинария-и-гостеприимство
Ф
Финансы-и-бизнес
П
Питомцы-и-животные
О
Образование
О
Образование-и-коммуникации
Mak78434
Mak78434
29.03.2021 17:41 •  Математика

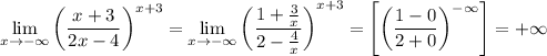
Lim x стремится к минус бесконечности x+3)/(2x-4))^(x+3))

👇
Ответ:
ahmed0051
ahmed0051
29.03.2021

\displaystyle \lim_{x\to-\infty}\left(\dfrac{x+3}{2x-4}\right)^{x+3}=\lim_{x\to-\infty}\left(\dfrac{1+\frac3x}{2-\frac4x}\right)^{x+3}=\left[\left(\dfrac{1-0}{2+0}\right)^{-\infty}\right]=+\infty

4,7(71 оценок)
Открыть все ответы
Ответ:
guldanaramazan
guldanaramazan
29.03.2021
(3/4+1/5)*5/19=
дроби в скобках приводим к общему знаменателю, то есть ищем число, которое делится и на 4 и на 5, это 20.
(3*5/4*5+1*4/5*4)*5/19=(15/20+4/20)*5/19=
при сложении дробей с одним знаменателем просто складываются числители(те, что вверху), а знаменатель(который внизу)остается темже
19/20*5/19=
при умножении дробей числитель*на числитель, а знаменатель*на знаменатель и сокращаем что возможно
19*5/20*19=
19 в числителе и 19 в знаменателе взаимно сокращаются, то есть их просто зачеркиваем, получается 5/20, сокращаем, делим и числитель и знаменатель на 5, получаем 1/4/это ответ
4,4(69 оценок)
Ответ:
anastasiagarap
anastasiagarap
29.03.2021
(3/4+1/5)*5/19=
дроби в скобках приводим к общему знаменателю, то есть ищем число, которое делится и на 4 и на 5, это 20.
(3*5/4*5+1*4/5*4)*5/19=(15/20+4/20)*5/19=
при сложении дробей с одним знаменателем просто складываются числители(те, что вверху), а знаменатель(который внизу)остается темже
19/20*5/19=
при умножении дробей числитель*на числитель, а знаменатель*на знаменатель и сокращаем что возможно
19*5/20*19=
19 в числителе и 19 в знаменателе взаимно сокращаются, то есть их просто зачеркиваем, получается 5/20, сокращаем, делим и числитель и знаменатель на 5, получаем 1/4/это ответ
4,5(8 оценок)
Это интересно:
Новые ответы от MOGZ: Математика
logo
Вход Регистрация
Что ты хочешь узнать?
Спроси Mozg
Открыть лучший ответ