Вход
Регистрация
Спроси Mozg AI
М
Молодежь
К
Компьютеры-и-электроника
Д
Дом-и-сад
С
Стиль-и-уход-за-собой
П
Праздники-и-традиции
Т
Транспорт
П
Путешествия
С
Семейная-жизнь
Ф
Философия-и-религия
Б
Без категории
М
Мир-работы
Х
Хобби-и-рукоделие
И
Искусство-и-развлечения
В
Взаимоотношения
З
Здоровье
К
Кулинария-и-гостеприимство
Ф
Финансы-и-бизнес
П
Питомцы-и-животные
О
Образование
О
Образование-и-коммуникации
.....больше.....
..меньше..
shkolnik22817
06.10.2021 02:32 •
Математика
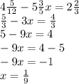
Решите уравнения: 1) 4 целых 5/12-5целых 3/5x=2целых 2/3 2)5/18x+2целых 1/2=10целых5/6 /-нижнее подчеркивание 100
👇
Увидеть ответ
Ответ:
West31
06.10.2021
1)
2)
Прости если что-то неправильно..
Сделай лучший
4,8
(59 оценок)
Открыть все ответы
Ответ:
MrLukz228
06.10.2021
Уровнение ... Пусть х раз принесли воды ,тогда 4х-2х=16 4х-2х=16 2х=16 х=16:2 х=8 (р)-принесли 2)8*2=16(л)принесла
4,5
(96 оценок)
Ответ:
ulia108
06.10.2021
Уровнение ... Пусть х раз принесли воды ,тогда 4х-2х=16 4х-2х=16 2х=16 х=16:2 х=8 (р)-принесли 2)8*2=16(л)принесла
4,8
(40 оценок)
Это интересно:
Т
Транспорт
18.02.2022
Как диагностировать автомобильную помпу...
Х
Хобби-и-рукоделие
09.09.2020
Как использовать объективы с байонетом M42 на цифровых фотоаппаратах Canon EOS...
П
Питомцы-и-животные
16.12.2021
Как завоевать доверие собаки: советы для новичков...
К
Кулинария-и-гостеприимство
04.02.2021
Как приготовить тыкву: от супа до печенья...
К
Компьютеры-и-электроника
13.05.2023
Как исправить проблемы с завершением работы Windows...
Х
Хобби-и-рукоделие
11.02.2021
Как выбрать апертуру объектива: все, что вам нужно знать...
О
Образование-и-коммуникации
21.09.2020
Как убедить человека рассказать свой секрет? Открываем профессиональные секреты психологии...
З
Здоровье
10.07.2021
Голубые глаза: миф или реальность?...
К
Компьютеры-и-электроника
04.07.2022
Как удалить историю поиска в iPod Touch: шаги по настройке конфиденциальности...
С
Стиль-и-уход-за-собой
07.05.2020
Правильный выбор парика: все, что вам нужно знать...
Новые ответы от MOGZ: Математика
леон15
18.08.2020
Водном подарочном наборе пирожных было 3 корзиночки и 2 эклера. сколько всего пирожных было в 6 таких наборах...
medlitelnaj
18.08.2020
Умножение дес. чисел выполни умножение и запиши ответ: 5,08*7,5 ответ:...
AliceMysova
07.03.2020
Составь по краткой записи и реши ее. 1) было -? улетели -8в. осталось -7в. 2) было -5 п. и 4 п. прилетели - 2п . стало -?...
davlud1974
03.07.2022
Напишите несколько примеров возведения в степень...
ApostalVooDoo
03.07.2022
Длина квадрата уменшыли на 70%. на сколько процентов уменшыцца его плошча? решить...
billymilligaan
03.07.2022
Найдите значение выражения.(306*307-187*36): 45+5780=...
BellaNow
03.07.2022
Решить определите истинное высказывание: а)12: 3+15_ 30; б)26х2-17=69; в)105: 3-51: 3_ 18; г)(17-12)+(34-5) 34....
Raulikx
03.07.2022
Может ли сумма двух чисел делится на 5 если да то примерв...
alina2000klimenko
03.07.2022
Найдите остаток от деления числа n =1* 2 *3 * 4 * 5 *6 *7 *8 * 9 *10+1 на 15...
лукашук
03.07.2022
Школьная библиотека получила 32 пачки учебников языка по 8 штук в каждом и несколько пачек учебников по 10 штук в каждой всего было получено 506 учебников языка и .сколько...
MOGZ ответил
Стол.сервиз.цветов букеты.торт,тарелка, всё это по-французки: натюрморт.определите...
Выберите элементы-неметаллы и расположите их в порядке уменьшения неметаллических...
Бабушка поехала в больницу к дедушке в 10 часов.дорога до больницы и...
Пословицы народа о речевом этикете...
Расположить в порядке убывания числа 3√5; 7; 4√3....
Translate the sentences with the infinitive constructions (complex subject):...
Написать сочинение в форме егэ тема сс по : индивидум, движимый только...
Вкаком случии самолет можно считать материальной точкой: при совершение...
Выполнить действие в форме (1+i sqrt(3))^2/2i^9 и если возможно подробно...
Используя полученное равенство запиши результат деления с остатком числа...
Полный доступ к MOGZ
Живи умнее Безлимитный доступ к MOGZ
Оформи подписку
О НАС
О нас
Блог
Условия пользования
Авторское право
Политика конфиденциальности
Предпочтения cookie-файлов
ПОМОЩЬ
Зарегистрируйся
Центр помощи
Центр безопасности
App
Вход
Регистрация
Что ты хочешь узнать?
Спроси Mozg
Открыть лучший ответ
2)
Прости если что-то неправильно..
Сделай лучший