М
Молодежь
К
Компьютеры-и-электроника
Д
Дом-и-сад
С
Стиль-и-уход-за-собой
П
Праздники-и-традиции
Т
Транспорт
П
Путешествия
С
Семейная-жизнь
Ф
Философия-и-религия
Б
Без категории
М
Мир-работы
Х
Хобби-и-рукоделие
И
Искусство-и-развлечения
В
Взаимоотношения
З
Здоровье
К
Кулинария-и-гостеприимство
Ф
Финансы-и-бизнес
П
Питомцы-и-животные
О
Образование
О
Образование-и-коммуникации
simonlol98
simonlol98
11.01.2023 21:10 •  Математика

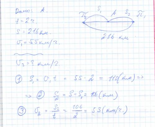
Со станции "негорелое" одновременно в противоположных направлениях отправились 2 товарных поезда. через 2 ч расстояние между ними стало 216 км. с какой скоростью шёл первый товарный поезд, если скорость второго - 55км/ч.

👇
Ответ:
rayarybak
rayarybak
11.01.2023

Вот решение перерисовать рисунок более качественным путем, он у меня слишком схематичный. Для определения V2 сначала запишите S2=V2t и только потом формулу V2=s2/t.


Со станции негорелое одновременно в противоположных направлениях отправились 2 товарных поезда. че
4,8(58 оценок)
Открыть все ответы
Ответ:
Natalivizer
Natalivizer
11.01.2023
формула: 
объем работы равен производительность работы умноженная на время работы.
V=производительность*t
Итак, двое очистили 400 штук картофеля. 400 штук - это общий объем. Один очищал 3 штуки в минуту - это производительность первого. другой - 2 штуки в минуту - это производительность второго. Второй работал на 25 минут больше первого. 
пусть х - время работы первого, тогда х+25 - время работы второго. 

исходя из формулы, найдем объем работы каждого, сплюсуем полученные объемы и приравняем к общему. Решим уравнение.
в ответе получится время работы первого - 70 минут. из условия знаем, что второй работал на 25 минут больше, отсюда следует: 70+25=95 минут.

ответ: 70мин, 95мин.
4,6(67 оценок)
Ответ:
tupoybolgarskiy
tupoybolgarskiy
11.01.2023
1)) 12•1,8= 21,6руб если бы открытки стоили одинаково

2)) 2,5- 1,8= 0,7руб разница стоимости

3)) 25,1- 21,6= 3,5руб остаток это открыток что дороже

4)) 3,5: 0,7= 5 открыток это по 2,5 руб

5)) 12- 5= 7 открыток по 1,8 руб

ответ: купили 5 открыток по 2,5руб и 7 открыток по 1,8 рублей

Решение второе система
Х- открытки по 1,8руб
У - открытки по 2,5 руб
{ Х+у= 12;
{ 1,8•Х+ 2,5•у= 25,1;
Х= 12-у;
Подставляем во второе
1,8• (12-у) + 2,5у= 25,1
21,6- 1,8у+ 2,5у= 25,1
0,7у= 25,1- 21,6
0,7У= 3,5
У= 3,5: 0,7
У =5
Подставляем в первое
Х+у= 12;
Х+ 5= 12;
Х=12-5;
Х= 7.

ответ: купили 5 открыток по 2,5 рубля и 7 открыток по 1,8 рублей
4,5(6 оценок)
Это интересно:
Новые ответы от MOGZ: Математика
logo
Вход Регистрация
Что ты хочешь узнать?
Спроси Mozg
Открыть лучший ответ