М
Молодежь
К
Компьютеры-и-электроника
Д
Дом-и-сад
С
Стиль-и-уход-за-собой
П
Праздники-и-традиции
Т
Транспорт
П
Путешествия
С
Семейная-жизнь
Ф
Философия-и-религия
Б
Без категории
М
Мир-работы
Х
Хобби-и-рукоделие
И
Искусство-и-развлечения
В
Взаимоотношения
З
Здоровье
К
Кулинария-и-гостеприимство
Ф
Финансы-и-бизнес
П
Питомцы-и-животные
О
Образование
О
Образование-и-коммуникации
Dianochka20013089
Dianochka20013089
30.11.2022 09:10 •  Математика

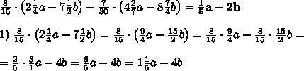
Выражение: 8/15 (2,1/4а - 7,1/2б) - 7/30*(4,2/7а - 8,4/7б) я уже пол часа жду !

👇
Ответ:
vita142
vita142
30.11.2022

_________________________________________________


Выражение: 8/15 (2,1/4а - 7,1/2б) - 7/30*(4,2/7а - 8,4/7б) я уже пол часа жду !
Выражение: 8/15 (2,1/4а - 7,1/2б) - 7/30*(4,2/7а - 8,4/7б) я уже пол часа жду !
Выражение: 8/15 (2,1/4а - 7,1/2б) - 7/30*(4,2/7а - 8,4/7б) я уже пол часа жду !
4,7(65 оценок)
Открыть все ответы
Ответ:
elenakovaleskau
elenakovaleskau
30.11.2022
1, 3, 5, 7, 9, 11, 13… - арифметическая прогрессия.а1, а2, а3, а4, а5, а6, а7…,  , d – разность арифметической прогреccии.,  ,  ,,  ,  .1. найти первый член а1  и разность d арифметической прогрессии в котором  d=-1.ответ:   а1=13, d=-1.2. известно, что при любом n сумма sn  членов некоторой арифметической прогрессий выражается формулой  . найти первые три члена этой прогрессий.ответ:   1; 9; 17.3. если третий и седьмой члены арифметической прогрессии соответственно равны 1, 1 и 2, 3, то шестнадцатый её член равен 1) 6, 2) 8, 3) 10,6, 4) 4,4, 5) 5.а16=?   1,2=4·dd=1,2/4d=0,31,1-0,6=а1a1=0,5а16=а1+15·0,3=0,5+4,5=5.ответ:   №54. если в арифметической прогрессии сумма третьего и седьмого членов равна 10, первый член равен -3, то разность прогрессии равна 1)3, 2) 1, 3) 2, 4) -2, 5)  .d=? а1+4·d=5,-3+4·d=5,4·d=8,d=2.ответ:   №35. если в арифметической прогрессии второй и шестой члены соответственно равны 0,8 и 2,4, то десятый член равен 1) 4, 2) 8,6, 3) 4,2, 4) 10,4, 5) 6.  а10=? 1,6=4·d, d=0,4,0,8=0,4+a1, a1=0,4,a10=a1+9·d=0,4+9·0,4=4.ответ:   №16. сколько членов арифметической прогрессий нужно взять, чтобы их сумма равнялось 91. если её третий член равен 9, а разность седьмого и второго членов равна 20?   а1+6·d- а1-d=20,5·d=20, d=4.а1+2·d =9,а1=9- 8=1,  d=b2-4·a·c=1+4·2·91=729,  ответ: n=7.занятие № прогрессияцели:   уметь решать , знать формулы прогрессии.содержание урокачисловая последовательность, каждый член которой, начинается со второго, равен предыдущему, умноженное на некоторое отличное от нуля постоянное число, называется прогрессий.для бесконечно убывающей прогрессии  1. сумма первого и четвертого членов прогрессии равна 40, а сумма второго и пятого равна 10. найти знаменатель прогрессии.ответ:   0,25.2. сумма второго и четвёртого членов возрастающей прогрессии равна 30, а их произведение 144. найти сумму девяти членов этой прогрессий.5·q=2+2·q2  , 2·q2-5·q+2=0,д=25-16=9,  так как возрастающая, q=2,ответ:   s9=1533.3. четвертый член возрастающей прогрессии больше второго члена на 24, а сумма второго и третьего членов равна 6. найти произведение первых четырех членов этой прогрессии.если q=5, то  ответ: .4. сколько членов прогрессии нужно сложить, чтобы получить сумму 3069, еслиq=2,      1024=2n  , 210=2n  .ответ:   n=10.5. найти знаменатель бесконечно убывающей прогрессии, сумма которой равна 1,6, если второй член равен (-0,5).    16·q2-16·q-5=0;   ответ:   6. сумма всех членов бесконечно убывающей прогрессии равна 6. сумма их квадратов 7,2. найти знаменатель прогрессии.36-36·q=7,2-7,2·q,288=432·q.ответ:   7. сумма бесконечно убывающей прогрессии равна 4, а сумма кубов её членов равна 192. найти первый член и знаменатель прогрессии.  д=25-16=32,прогрессия убывающая, q=-0,5,.ответ:   ,  8. найти второй член прогрессии, состоящей из 9 членов, которой произведение двух крайних членов равна 2304, а сумма четвертого и шестого членов равно 120.  b5=48,    2+2·q2=5·q,2·q2-5·q+2=0,,    ,b1=48·16=768,  ,  ответ:   384; 6.занятие №3смешанная прогрессияцель:   знать формулы и уметь их применять при решений .содержание свойства прогрессий: , где  1. три числа a, b, 12 в указанном порядке составляют возрастающую прогрессию, а числа a, b, 9 – арифметическую прогрессию. найти a+b.a, b, 12- возрастающая прогрессия,a, b, 9 – арифметическая прогрессия.,а2+18·а+81=48·а,а2-30·а+81=0,а1=3, а2=27, а < =12,а=3,  ,a+b=9.ответ: 9.2. три числа x, y, 20 в указанном порядке составляют возрастающую прогрессию, а числа x, y, 15 – арифметическую прогрессию. найти y-x.3. три числа в сумме 18 образуют арифметическую прогрессию. если к ним прибавить соответственно 1, 3 и 17, то они составляют возрастающую прогрессию. найти исходное третье число.  2·b=18-b, 3·b=18, b=6,a+c=12, a=12-c,81=(12-c+1)·(c+17),81=-c2-4·c+130+91-c2-4·c+140=0,,c=-2+12=10.ответ:   с=10.4. пусть x1, x2  корни уравнения 12·x-x2=a, а x3, x4  корни уравнения 108·x-x2=в. найти а, если известно, что последовательность x1, x2, x3, x4  – прогрессия, все члены которой положительны.x1, x2, x3, x4  – прогрессия.x1, x1·q, x1·q2, x1·q3;     ответ:   .5. числа x, y и z образуют прогрессию, а числа x+y, y+ z, x+ z образуют арифметическую прогрессию.найти z, если x+y+z=15 и  .    15=3·x, x=5, y+z=15-x,  ,,  .ответ:   .
4,5(8 оценок)
Ответ:
MaryVasili
MaryVasili
30.11.2022
1, 3, 5, 7, 9, 11, 13… - арифметическая прогрессия.а1, а2, а3, а4, а5, а6, а7…,  , d – разность арифметической прогреccии.,  ,  ,,  ,  .1. найти первый член а1  и разность d арифметической прогрессии в котором  d=-1.ответ:   а1=13, d=-1.2. известно, что при любом n сумма sn  членов некоторой арифметической прогрессий выражается формулой  . найти первые три члена этой прогрессий.ответ:   1; 9; 17.3. если третий и седьмой члены арифметической прогрессии соответственно равны 1, 1 и 2, 3, то шестнадцатый её член равен 1) 6, 2) 8, 3) 10,6, 4) 4,4, 5) 5.а16=?   1,2=4·dd=1,2/4d=0,31,1-0,6=а1a1=0,5а16=а1+15·0,3=0,5+4,5=5.ответ:   №54. если в арифметической прогрессии сумма третьего и седьмого членов равна 10, первый член равен -3, то разность прогрессии равна 1)3, 2) 1, 3) 2, 4) -2, 5)  .d=? а1+4·d=5,-3+4·d=5,4·d=8,d=2.ответ:   №35. если в арифметической прогрессии второй и шестой члены соответственно равны 0,8 и 2,4, то десятый член равен 1) 4, 2) 8,6, 3) 4,2, 4) 10,4, 5) 6.  а10=? 1,6=4·d, d=0,4,0,8=0,4+a1, a1=0,4,a10=a1+9·d=0,4+9·0,4=4.ответ:   №16. сколько членов арифметической прогрессий нужно взять, чтобы их сумма равнялось 91. если её третий член равен 9, а разность седьмого и второго членов равна 20?   а1+6·d- а1-d=20,5·d=20, d=4.а1+2·d =9,а1=9- 8=1,  d=b2-4·a·c=1+4·2·91=729,  ответ: n=7.занятие № прогрессияцели:   уметь решать , знать формулы прогрессии.содержание урокачисловая последовательность, каждый член которой, начинается со второго, равен предыдущему, умноженное на некоторое отличное от нуля постоянное число, называется прогрессий.для бесконечно убывающей прогрессии  1. сумма первого и четвертого членов прогрессии равна 40, а сумма второго и пятого равна 10. найти знаменатель прогрессии.ответ:   0,25.2. сумма второго и четвёртого членов возрастающей прогрессии равна 30, а их произведение 144. найти сумму девяти членов этой прогрессий.5·q=2+2·q2  , 2·q2-5·q+2=0,д=25-16=9,  так как возрастающая, q=2,ответ:   s9=1533.3. четвертый член возрастающей прогрессии больше второго члена на 24, а сумма второго и третьего членов равна 6. найти произведение первых четырех членов этой прогрессии.если q=5, то  ответ: .4. сколько членов прогрессии нужно сложить, чтобы получить сумму 3069, еслиq=2,      1024=2n  , 210=2n  .ответ:   n=10.5. найти знаменатель бесконечно убывающей прогрессии, сумма которой равна 1,6, если второй член равен (-0,5).    16·q2-16·q-5=0;   ответ:   6. сумма всех членов бесконечно убывающей прогрессии равна 6. сумма их квадратов 7,2. найти знаменатель прогрессии.36-36·q=7,2-7,2·q,288=432·q.ответ:   7. сумма бесконечно убывающей прогрессии равна 4, а сумма кубов её членов равна 192. найти первый член и знаменатель прогрессии.  д=25-16=32,прогрессия убывающая, q=-0,5,.ответ:   ,  8. найти второй член прогрессии, состоящей из 9 членов, которой произведение двух крайних членов равна 2304, а сумма четвертого и шестого членов равно 120.  b5=48,    2+2·q2=5·q,2·q2-5·q+2=0,,    ,b1=48·16=768,  ,  ответ:   384; 6.занятие №3смешанная прогрессияцель:   знать формулы и уметь их применять при решений .содержание свойства прогрессий: , где  1. три числа a, b, 12 в указанном порядке составляют возрастающую прогрессию, а числа a, b, 9 – арифметическую прогрессию. найти a+b.a, b, 12- возрастающая прогрессия,a, b, 9 – арифметическая прогрессия.,а2+18·а+81=48·а,а2-30·а+81=0,а1=3, а2=27, а < =12,а=3,  ,a+b=9.ответ: 9.2. три числа x, y, 20 в указанном порядке составляют возрастающую прогрессию, а числа x, y, 15 – арифметическую прогрессию. найти y-x.3. три числа в сумме 18 образуют арифметическую прогрессию. если к ним прибавить соответственно 1, 3 и 17, то они составляют возрастающую прогрессию. найти исходное третье число.  2·b=18-b, 3·b=18, b=6,a+c=12, a=12-c,81=(12-c+1)·(c+17),81=-c2-4·c+130+91-c2-4·c+140=0,,c=-2+12=10.ответ:   с=10.4. пусть x1, x2  корни уравнения 12·x-x2=a, а x3, x4  корни уравнения 108·x-x2=в. найти а, если известно, что последовательность x1, x2, x3, x4  – прогрессия, все члены которой положительны.x1, x2, x3, x4  – прогрессия.x1, x1·q, x1·q2, x1·q3;     ответ:   .5. числа x, y и z образуют прогрессию, а числа x+y, y+ z, x+ z образуют арифметическую прогрессию.найти z, если x+y+z=15 и  .    15=3·x, x=5, y+z=15-x,  ,,  .ответ:   .
4,7(92 оценок)
Это интересно:
Новые ответы от MOGZ: Математика
logo
Вход Регистрация
Что ты хочешь узнать?
Спроси Mozg
Открыть лучший ответ