М
Молодежь
К
Компьютеры-и-электроника
Д
Дом-и-сад
С
Стиль-и-уход-за-собой
П
Праздники-и-традиции
Т
Транспорт
П
Путешествия
С
Семейная-жизнь
Ф
Философия-и-религия
Б
Без категории
М
Мир-работы
Х
Хобби-и-рукоделие
И
Искусство-и-развлечения
В
Взаимоотношения
З
Здоровье
К
Кулинария-и-гостеприимство
Ф
Финансы-и-бизнес
П
Питомцы-и-животные
О
Образование
О
Образование-и-коммуникации
калина007
калина007
25.03.2021 01:58 •  Математика

Нужна ваща показать что векторы а1 а2 а3 образуют базис в r^3 и разложить вектор а4 по этому базису: a1(2; 1; 3), a2(-4; -2; -1) a3(3; 4; 5) a4(1; 3; 2)

👇
Ответ:
linakkj
linakkj
25.03.2021

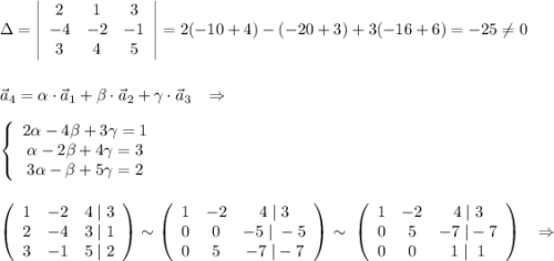
Векторы а1 , а2 , а3 образуют базис, если определитель, составленный из координат этих векторов не равен 0.

\Delta =\left|\begin{array}{ccc}2&1&3\\-4&-2&-1\\3&4&5\end{array}\right|=2(-10+4)-(-20+3)+3(-16+6)=-25\ne 0\\\\\\\vec{a}_4=\alpha \cdot \vec{a}_1+\beta \cdot \vec{a}_2+\gamma \cdot \vec{a}_3\; \; \; \Rightarrow \\\\\left\{\begin{array}{ccc}2\alpha -4\beta +3\gamma =1\\\alpha -2\beta +4\gamma =3\\3\alpha -\beta +5\gamma =2\end{array}\right \\\\\\\left(\begin{array}{ccc}1&-2&4\; |\; 3\\2&-4&3\; |\; 1\\3&-1&5\; |\; 2\end{array}\right)\sim \left(\begin{array}{ccc}1&-2&4\; |\; 3\\0&0&-5\; |\; -5\\0&5&-7\; |-7\end{array}\right)\sim \; \left(\begin{array}{ccc}1&-2&4\; |\; 3\\0&5&-7\; |-7\\0&0&1\; |\; \; 1\end{array}\right)\; \; \; \Rightarrow


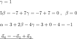
\gamma =1\\\\5\beta =-7+7\gamma=-7+7=0\; ,\; \; \beta =0\\\\\alpha =3+2\beta -4\gamma=3+0-4=-1\\\\\underline {\; \vec{a}_4=-\vec{a}_1+\vec{a}_3\; }

4,5(49 оценок)
Открыть все ответы
Ответ:
dianajalagonia
dianajalagonia
25.03.2021

                                                          №1

х книг было в 1 шкафу

4х книг было во 2 шкафу

х + 17 книг стало в 1 шкафу

4х - 25 стало во 2 шкафу.

ПО условию известно, что огда в первый шкаф положили 17 книг,а из второго взяли 25,то в обоих шкафах стало поровну.

4х - 25 = х + 17

4х - х = 17 + 25

3х = 42

х = 14

14 книг было в 1 шкафу

4 * 14 = 56 книг было во 2 шкафу

                                                      №2

Допустим, что в I шкафу было х книг, а во II - 4х книг,

(х+17) книг - стало в I шкафу и (4х-25) - стало во II шкафу.

Согласно этим данным можно составить уравнение:

4х-25=х+17

переносим значения с х в левую часть, а числа в правую

4х-х=25+17

3х=42

х=42:3

х=14 (к.) - было в I шкафу.

4х=4·14=56 (к.) - было во II шкафу.

ответ: В первом шкафу было 14 книг, а во втором - 56 книг.

Пошаговое объяснение:

4,4(37 оценок)
Ответ:
mipad0302
mipad0302
25.03.2021

Площадь квадрата:

                                  S₁ = a² (м²)

Площадь двух кругов:

                                  S₂ = 2πa²/4 = πa²/2 (м²)

Тогда:

                                  S = S₁+S₂ = a² + πa²/2

                             1000 = a² + 1,5a²

                              2,5a² = 1000

                                  a² = 400

                                  a = 20 (м) - длина стороны квадрата

R = a/2 = 20:2 = 10 (м) - радиус кругов

Длина забора: L = 2*2πR = 4*3*10 = 120 (м)

Пошаговое объяснение:

4,5(33 оценок)
Это интересно:
Новые ответы от MOGZ: Математика
logo
Вход Регистрация
Что ты хочешь узнать?
Спроси Mozg
Открыть лучший ответ