М
Молодежь
К
Компьютеры-и-электроника
Д
Дом-и-сад
С
Стиль-и-уход-за-собой
П
Праздники-и-традиции
Т
Транспорт
П
Путешествия
С
Семейная-жизнь
Ф
Философия-и-религия
Б
Без категории
М
Мир-работы
Х
Хобби-и-рукоделие
И
Искусство-и-развлечения
В
Взаимоотношения
З
Здоровье
К
Кулинария-и-гостеприимство
Ф
Финансы-и-бизнес
П
Питомцы-и-животные
О
Образование
О
Образование-и-коммуникации
khalitovroman
khalitovroman
24.02.2020 07:14 •  Математика

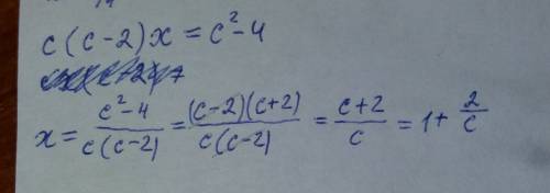
Решите относительно x уравнение c(c-2)x=c^2-4

👇
Ответ:
milaboit
milaboit
24.02.2020
Решение на фотографии
Решите относительно x уравнение c(c-2)x=c^2-4
4,4(9 оценок)
Открыть все ответы
Ответ:
nikitin021
nikitin021
24.02.2020

Нод 10

Нок 60

Пошаговое объяснение:

НОД: Разложим на простые множители 20

20 = 2 • 2 • 5

Разложим на простые множители 30

30 = 2 • 3 • 5

Выберем одинаковые простые множители в обоих числах.

2 , 5

Находим произведение одинаковых простых множителей и записываем ответ

НОД (20; 30) = 2 • 5 = 10

НОК: Разложим на простые множители 20

20 = 2 • 2 • 5

Разложим на простые множители 30

30 = 2 • 3 • 5

Выберем в разложении меньшего числа (20) множители, которые не вошли в разложение

2

Добавим эти множители в разложение бóльшего числа

2 , 3 , 5 , 2

Полученное произведение запишем в ответ.

НОК (20, 30) = 2 • 3 • 5 • 2 = 60

4,8(38 оценок)
Ответ:
lebrov
lebrov
24.02.2020

Обозначим расстояние от одного края до синей полосы а см, от другого края до красной полосы b см, между полосами х см.

Тогда длина всей ленты равна a+x+b см.

Синяя полоска делит ленту на куски длиной а см и x+b см.

Длина с одной стороны от синей полоски на 75 см больше, чем с другой.

x + b = a + 75

Красная полоска делит ленту на куски длиной b см и x+a см.

Длина с одной стороны красной полоски на 35 см больше, чем с другой.

x + a = b + 35

Складываем эти уравнения

x + b + x + a = a + 75 + b + 35

Вычитаем a + b слева и справа.

2x = 75 + 35 = 110

x = 110/2 = 55 см - расстояние между полосками.

4,6(69 оценок)
Новые ответы от MOGZ: Математика
logo
Вход Регистрация
Что ты хочешь узнать?
Спроси Mozg
Открыть лучший ответ