М
Молодежь
К
Компьютеры-и-электроника
Д
Дом-и-сад
С
Стиль-и-уход-за-собой
П
Праздники-и-традиции
Т
Транспорт
П
Путешествия
С
Семейная-жизнь
Ф
Философия-и-религия
Б
Без категории
М
Мир-работы
Х
Хобби-и-рукоделие
И
Искусство-и-развлечения
В
Взаимоотношения
З
Здоровье
К
Кулинария-и-гостеприимство
Ф
Финансы-и-бизнес
П
Питомцы-и-животные
О
Образование
О
Образование-и-коммуникации
andrewlitvinov4
andrewlitvinov4
31.12.2021 18:33 •  Математика

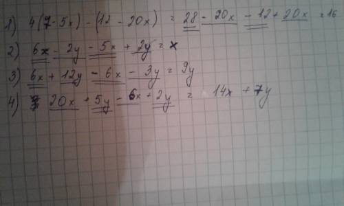
Заранее ! раскройте скобки и подобные слагаемые: 1)4(7--20х); 2)2(3х--2у); 3)6(х+2у)-3(2х+у); 4)5(4х+у)-2(х-у)

👇
Ответ:
Розочка18647
Розочка18647
31.12.2021

Пошаговое объяснение:



Заранее ! раскройте скобки и подобные слагаемые: 1)4(7--20х); 2)2(3х--2у); 3)6(х+2у)-3(2х+у); 4)5(4х
4,8(94 оценок)
Открыть все ответы
Ответ:
Dasssshenka
Dasssshenka
31.12.2021

Могут ли слова первого быть правдой? Предположим, что это так. Тогда второй и

третий – лжецы. Но в этом случае второй сказал правду, ведь среди его спутников

ровно один рыцарь (первый житель острова). Получаем противоречие с тем, что

второй - лжец. Поэтому первый житель является лжецом. При этом среди двух

других жителей есть хотя бы один рыцарь.

Предположим теперь, что второй также является лжецом. Тогда третий, как мы

знаем, должен быть рыцарем. Но в этом случае второй сказал правду (среди его

спутников ровно один рыцарь). Получаем противоречие с тем, что второй - лжец.

Поэтому второй житель является рыцарем и он сказал правду, т.е. третий также

является рыцарем и он скажет “Один”.

4,4(88 оценок)
Ответ:
Софийкф
Софийкф
31.12.2021
Возьмем катер туда плыл 48 км со скоростью Vк+Vр , обратно 48 км со скоростью Vк-Vр и всёэто за 7 часов и того получаем уравнение :

48/(Vк+Vр) + 48/(Vк-Vр) = 7   (1)

Возмём плот. До момента встречи он проплыл со скоростью Vр по течению 12 км. время плота до встречи 12/Vр.
А катер плыл 48 км по течению со скоростью Vк+Vр и 48-12=36 км со скоростью Vк-Vр, время катера до встречи 48/(Vк+Vр) + 36/(Vк-Vр).
так как они плыли одинаковое время до встречи приравняем 

12/Vр =48/(Vк+Vр) + 36/(Vк-Vр)    (2)

и того у нас система 2х уравнений (1) и (2) с 2мя неизвестными и решаем
4,5(95 оценок)
Новые ответы от MOGZ: Математика
logo
Вход Регистрация
Что ты хочешь узнать?
Спроси Mozg
Открыть лучший ответ