М
Молодежь
К
Компьютеры-и-электроника
Д
Дом-и-сад
С
Стиль-и-уход-за-собой
П
Праздники-и-традиции
Т
Транспорт
П
Путешествия
С
Семейная-жизнь
Ф
Философия-и-религия
Б
Без категории
М
Мир-работы
Х
Хобби-и-рукоделие
И
Искусство-и-развлечения
В
Взаимоотношения
З
Здоровье
К
Кулинария-и-гостеприимство
Ф
Финансы-и-бизнес
П
Питомцы-и-животные
О
Образование
О
Образование-и-коммуникации
Ninick
Ninick
31.05.2023 13:09 •  Математика

Решите пример(2 целых 3/8+3 целых 7/24): (4 целых 2/3-1 целая 1/8).заранее !

👇
Ответ:
tevzi
tevzi
31.05.2023
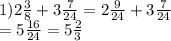
1)2 \frac{3}{8} + 3 \frac{7}{24} = 2 \frac{9}{24} + 3 \frac{7}{24} \\ = 5 \frac{16}{24} = 5 \frac{2}{ 3}
2)4 \frac{2}{3} - 1 \frac{1}{8} = 4 \frac{16}{24} - 1 \frac{3}{24} = 3 \frac{13}{24}
3)5 \frac{2}{3} \div 3 \frac{13}{24} = \frac{17}{3} \div \frac{85}{24} = \\ \frac{17}{3} \times \frac{24}{85} = \frac{8}{5} = 1 \frac{3}{5}
ответ:
1 \frac{3}{5}
4,8(64 оценок)
Открыть все ответы
Ответ:
МиссПана
МиссПана
31.05.2023
ответ: 35 дней. На 35 день у сторожа выпадет выходной на воскресенье, сосчитать очень легко, понедельник, вторник, среду, четверг работает, в пятницу отдыхает.В субботу, в воскресенье, в понедельник, во вторник работает, в среду отдыхает.В четверг, пятницу, субботу, воскресенье работает, в понедельник отдыхает.Во вторник, среду , четверг, пятницу работает, в субботу отдыхает.В воскресенье, понедельник,вторник и среду работает, в четверг выходной.В пятницу,субботу , воскресенье, понедельник работает, во вторник отдыхает.В среду,четверг, пятницу, субботу работает, и В ВОСКРЕСЕНЬЕ отдыхает!
4,7(98 оценок)
Ответ:
sesew228
sesew228
31.05.2023
ответ: 35 дней. На 35 день у сторожа выпадет выходной на воскресенье, сосчитать очень легко, понедельник, вторник, среду, четверг работает, в пятницу отдыхает.В субботу, в воскресенье, в понедельник, во вторник работает, в среду отдыхает.В четверг, пятницу, субботу, воскресенье работает, в понедельник отдыхает.Во вторник, среду , четверг, пятницу работает, в субботу отдыхает.В воскресенье, понедельник,вторник и среду работает, в четверг выходной.В пятницу,субботу , воскресенье, понедельник работает, во вторник отдыхает.В среду,четверг, пятницу, субботу работает, и В ВОСКРЕСЕНЬЕ отдыхает!
4,8(87 оценок)
Это интересно:
Новые ответы от MOGZ: Математика
logo
Вход Регистрация
Что ты хочешь узнать?
Спроси Mozg
Открыть лучший ответ