М
Молодежь
К
Компьютеры-и-электроника
Д
Дом-и-сад
С
Стиль-и-уход-за-собой
П
Праздники-и-традиции
Т
Транспорт
П
Путешествия
С
Семейная-жизнь
Ф
Философия-и-религия
Б
Без категории
М
Мир-работы
Х
Хобби-и-рукоделие
И
Искусство-и-развлечения
В
Взаимоотношения
З
Здоровье
К
Кулинария-и-гостеприимство
Ф
Финансы-и-бизнес
П
Питомцы-и-животные
О
Образование
О
Образование-и-коммуникации
anna3548202
anna3548202
28.05.2020 07:39 •  Математика

Найдите неизвестный член пропорции a : 1,8 = 4,9 : 3,6 1) 2, 2) 3 , 5 ) 0 , ) 5, 4 с объяснением

👇
Ответ:
vasx
vasx
28.05.2020
.............................
Найдите неизвестный член пропорции a : 1,8 = 4,9 : 3,6 1) 2, 2) 3 , 5 ) 0 , ) 5, 4 с объяснением
4,5(16 оценок)
Ответ:
oliaborisova123
oliaborisova123
28.05.2020
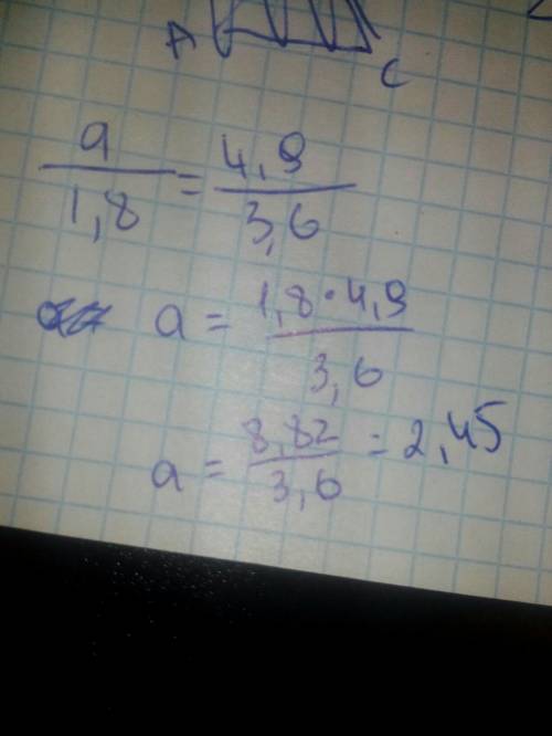
A:1.8=4.9:3.6
a=1.8*4.9/3.6
a=2.45
ответ a=2.45
4,8(22 оценок)
Открыть все ответы
Ответ:
Маха1437
Маха1437
28.05.2020
ДАНО
S = 1200 км - расстояние
s1 = S/3 - первая часть пути
t1 = 2 час - время задержки
dV=  + 20 км/ч -  скорость увеличена
НАЙТИ
V = ? - начальная скорость
РЕШЕНИЕ
Пишем выражение для времени в пути
400 / V + 2 + 800 / (V+20) = 1200/V - прибыл вовремя
Преобразуем - приводим к общему знаменателю= V*(V+20)
400*(V+20) + 2*V*(V+20) + 800*V = 1200*(V+20)
Раскрываем скобки и упрощаем
400*V + 8000 + 2*V² + 40V+ 800*V = 1200*V +24000
2*V² -40*V - 16000 = 0
Корни уравнения  V = 80 км/час и 100 км/час (после увеличения)
 ОТВЕТ: Начальная скорость 80 км/час
4,8(31 оценок)
Ответ:
Irinaytsn
Irinaytsn
28.05.2020

Искомое число должно делиться на 4и 3. Наименьшее из таких чисел 12. его квадрат 144 делится на 24. Сумма цифр 3. ответ 3.

второй последовательно находить кратные числа 24: 24, 48, 72 и т.д., пока не дойдем до того, которое является точны квадратом. очень скоро дойдем до 144. Извлекаем из него корень, получим 12 и определяем сумму его цифр 3.

третий последовательно возводим в квадрат натуральные числа, начиная с 5 (брать меньше не имеет смысла) и проверяем, делятся ли эти квадраты на 24. Очень скоро дойдем до числа 12.

4,8(80 оценок)
Новые ответы от MOGZ: Математика
logo
Вход Регистрация
Что ты хочешь узнать?
Спроси Mozg
Открыть лучший ответ