М
Молодежь
К
Компьютеры-и-электроника
Д
Дом-и-сад
С
Стиль-и-уход-за-собой
П
Праздники-и-традиции
Т
Транспорт
П
Путешествия
С
Семейная-жизнь
Ф
Философия-и-религия
Б
Без категории
М
Мир-работы
Х
Хобби-и-рукоделие
И
Искусство-и-развлечения
В
Взаимоотношения
З
Здоровье
К
Кулинария-и-гостеприимство
Ф
Финансы-и-бизнес
П
Питомцы-и-животные
О
Образование
О
Образование-и-коммуникации
fffff131
fffff131
24.08.2020 06:00 •  Математика

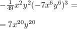
Преобразуйте выражение в многочлен стандартного вида. a) (-3a³b⁴)³ b) -x²y²*(-7x⁶y⁶)³ . буду .

👇
Ответ:
direcrtbyrage
direcrtbyrage
24.08.2020
Здравствуйте!

а)
( - 3a {}^{3} b {}^{4} ) {}^{3} = - 27a {}^{9} b {}^{12}

б)
- \frac{1}{49} x {}^{2} y {}^{2} ( - 7x {}^{6} y {}^{6} ) {}^{3} = \\ \\ = 7x {}^{20} y {}^{20}

Удачи в учебе!!
4,8(69 оценок)
Открыть все ответы
Ответ:
katyakiseleva3
katyakiseleva3
24.08.2020
Т.к треугольник равнобедренный то биссектриса также является медианой, а значит все стороны равны 6*2=12 см. следовательно в треуг-ке АDC сторона AC равна 12 см, а сторона DC по условию 6 см. отсюда можно найти расстояние от вершины А до стороны (прямой) ВС, следовательно нужно найти биссектрису AD по теореме Пифагора: AC в кв=AD в кв + DC в кв. выражаем из этого AD: AD=квадратный корень из разности квадратов сторон AC и DC. AD= корень из 12 в кв - 6 в кв = корень из 144 - 36= корень из 108= 2 корня из 27.пусть АС=2а, тогда CD=a , по т Пифагора AD=a√3a=2√3a²√3=6aa√3=6S=0.5*2a*6AD=2√3*√3=6S=0.5a*a√3
4,5(8 оценок)
Ответ:
lychik1111
lychik1111
24.08.2020
Т.к треугольник равнобедренный то биссектриса также является медианой, а значит все стороны равны 6*2=12 см. следовательно в треуг-ке АDC сторона AC равна 12 см, а сторона DC по условию 6 см. отсюда можно найти расстояние от вершины А до стороны (прямой) ВС, следовательно нужно найти биссектрису AD по теореме Пифагора: AC в кв=AD в кв + DC в кв. выражаем из этого AD: AD=квадратный корень из разности квадратов сторон AC и DC. AD= корень из 12 в кв - 6 в кв = корень из 144 - 36= корень из 108= 2 корня из 27.пусть АС=2а, тогда CD=a , по т Пифагора AD=a√3a=2√3a²√3=6aa√3=6S=0.5*2a*6AD=2√3*√3=6S=0.5a*a√3
4,6(26 оценок)
Это интересно:
Новые ответы от MOGZ: Математика
logo
Вход Регистрация
Что ты хочешь узнать?
Спроси Mozg
Открыть лучший ответ