М
Молодежь
К
Компьютеры-и-электроника
Д
Дом-и-сад
С
Стиль-и-уход-за-собой
П
Праздники-и-традиции
Т
Транспорт
П
Путешествия
С
Семейная-жизнь
Ф
Философия-и-религия
Б
Без категории
М
Мир-работы
Х
Хобби-и-рукоделие
И
Искусство-и-развлечения
В
Взаимоотношения
З
Здоровье
К
Кулинария-и-гостеприимство
Ф
Финансы-и-бизнес
П
Питомцы-и-животные
О
Образование
О
Образование-и-коммуникации
kamilamih
kamilamih
19.01.2023 04:08 •  Математика

(11+k)в квадрате (7-t) в квадрате (6+n) в квадрате (5-y)в квадрате (10+с)в квадрате (2-m)в квадрате (p+8)в квадрате (b-9)в квадрате (d+1)в квадрате (n+6)в квадрате заранее : )

👇
Ответ:
Choch121
Choch121
19.01.2023
Здравствуйте!

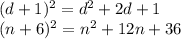
(11 + k) {}^{2} = 121 + 22k + k {}^{2} \\ (7 - t) {}^{2} = 49 - 14t + t {}^{2} \\ (6 + n) {}^{2} = 36 + 12n + n {}^{2} \\ (5 - y) {}^{2} = 25 - 10y + y {}^{2}
(10 + c) {}^{2} = 100 + 20c + c {}^{2} \\ (2 - m) = 4 - 4m - m {}^{2} \\ (p + 8) {}^{2} = p {}^{2} + 16p + 64 \\ (b - 9) {}^{2} = b {}^{2} - 18b + 81
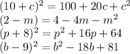
(d + 1) {}^{2} = d {}^{2} + 2 d + 1 \\ (n + 6) {}^{2} = n {}^{2} + 12 n + 36

Удачи в учебе!
4,5(100 оценок)
Открыть все ответы
Ответ:
saidos1000
saidos1000
19.01.2023
В нашей жизни очень часто встречаются фразеологизмы. Мы даже не задумываемся, как они называются, но тем не менее понимаем значение и с легкостью можем догадаться, что имел в виду человек, сказавший "крылатое выражение". Наверняка, каждый слышал о выражении "яблоку негде упасть" - это значит тесно, нет места. Если мы не будем понимать значения фразеологизмов, мы просто неправильно будем понимать окружающих. 
Но без них тоже бы было не очень хорошо. Так называемые, "крылатые выражения" позволяют нам разнообразить нашу речь и сделать её более интересной.

Ну, такой краткий вариант.
4,7(15 оценок)
Ответ:
rozhkoevgen5
rozhkoevgen5
19.01.2023
Рациональное число - это число кторое можно представить в виде обыкновенной дроби
2/3 2 - числитель, 3 - знаменатель
несократимая дробь - её нельзя сократить, уменьшить в несколько раз, пример 2/3 14/17 8/13
5/30 = 1/6      4/12 = 1/3
чтобы сравнить дроби с общим зн. нужно смотреть на числитель, у какой дроби он больше, та и больше.
7/8 и 6/8 7 больше 6 а значит 7/8 больше 6/8
у разных знаменателей нужно сначала привести к общему, а затем как и дроби с общем знаменателем
1/4 и 1/3 общий зн. = 12
1/4 = 3/12
1/3 = 4/12
3/12 vtymit 4/12 значит 1/4 меньше 1/3
правильная дробь та у которое числитель меньше знаменаткели
правильная дробь всегда меньше 1, неправильная - больше 1, правильная меньше чем неправильная
сложение дробей с одинаковым очень просто - складываешь числительи, знаменатель тот же
если разный знаменатель - просто приведи к общему, а потом делай то что выше
вычитание абсол.тно аналогично сложению
умножение и деление проще чем сложение и вычитание
если смешанная то переводим в неправильную, если правильная оставляем
дальше умножаем. если крест накрест сокращается, то сокращаем
пример 3/4 и 4/5 4 и 4 сокращаются
умножение на натуральное точно такое же, просто переводим в неправильную, т.е. 4 это 4/1 1605 это 1605/1
деление похоже на умножение, только вторую дробь вы переворачиваем (т.е. 4/5 разделить на 1 1/5 = 4/5 разделить на 6/5 = 4/5 умножить на 5/6)
4,7(52 оценок)
Это интересно:
Новые ответы от MOGZ: Математика
logo
Вход Регистрация
Что ты хочешь узнать?
Спроси Mozg
Открыть лучший ответ