М
Молодежь
К
Компьютеры-и-электроника
Д
Дом-и-сад
С
Стиль-и-уход-за-собой
П
Праздники-и-традиции
Т
Транспорт
П
Путешествия
С
Семейная-жизнь
Ф
Философия-и-религия
Б
Без категории
М
Мир-работы
Х
Хобби-и-рукоделие
И
Искусство-и-развлечения
В
Взаимоотношения
З
Здоровье
К
Кулинария-и-гостеприимство
Ф
Финансы-и-бизнес
П
Питомцы-и-животные
О
Образование
О
Образование-и-коммуникации
мопдркиопм
мопдркиопм
21.04.2020 09:34 •  Математика

Решите пример ) две пятых - 0,7=? только с решением

👇
Ответ:
DizzyWarriorr
DizzyWarriorr
21.04.2020

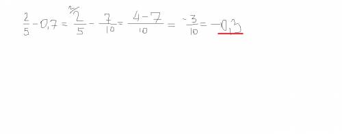
две пятых - 0,7= 0,4-0,7= -0,3

4,6(90 оценок)
Ответ:

представляем -0,7 как -7/10

2/5-7/10=(под общий знаменатель 10)=в числителе 4-7, в знаменателе 10=-3/10 или же -0,3

(если так не понятно, см. в вложения)


Решите пример ) две пятых - 0,7=? только с решением
4,7(2 оценок)
Открыть все ответы
Ответ:
zukhra1234
zukhra1234
21.04.2020

Пошаговое объяснение:

0,2/(х+4) = 0,6/(х-2)

0,2*(х-2) = 0,6(х+4)

0,2х - 0,2*2 = 0,6х  + 0,6*4

0,2х - 0,4 = 0,6х + 2,4  

0,2х - 0,6х = 2,4  + 0,4

-0,4х = 2,8

х = 2,8 : (-0,4) = - 28/4

х= - 7

0,2 / ( (-7) +4 ) =  0,6/( - 7 - 2)

0,2/ (-3) = 0,6/(-9)

-  2/30  =  - 6/90

-  1/15  = - 1/15

если условие следует читать так:

(0,2/х)   +  4 = (0,6/х )   -  2

(0,2 + 4х)/х   = (0,6 - 2х)/х

х * (0,2 + 4х ) = х * (0,6 - 2х )           |:х

0,2 + 4х = 0,6 - 2х

4х + 2 х = 0,6 -0,2

6х = 0,4

х = 0,4 / 6  = 4/60 = 1/15

х = 1/15

(0,2 /  (1/15)    )  + 4  =  (0,6 /  (1/15) )  - 2

(2/10 )  *  (15/1 )     + 4   =  (6/10) * (15/1)  - 2

3  + 4  = 9-2

7=7

4,6(50 оценок)
Ответ:

кратны 9 значит что сумма цифр числа кратно 9

1)120 < x < 170

х должно быть больше 120 но меньше 170 т.е от 121 до 169

121=1+2+1=4 до 9 не хватает 5

121+5=126 это первое число дальше всё прибавляется 9 т.е

126+9=135

135+9=144

144+9=153

153+9=162

2)81 < y ≤ 99

у больше чем 81 но меньше или равен 99

81 кратно 9 но он не подходит значит следующие число больше на 9

81+9=90

90+9=99

3)

63≤z≤117

z больше или равно 63 и z меньше или равно 111177

6+3=9 значит 63 кратно 9

дальше всё идёт+9

63+9=72

72+8=81

81+9=90

90+9=99

99+9=108

108+9=177 все они подходят

z=72;81;90;99;108;117

4,8(51 оценок)
Это интересно:
logo
Вход Регистрация
Что ты хочешь узнать?
Спроси Mozg
Открыть лучший ответ