М
Молодежь
К
Компьютеры-и-электроника
Д
Дом-и-сад
С
Стиль-и-уход-за-собой
П
Праздники-и-традиции
Т
Транспорт
П
Путешествия
С
Семейная-жизнь
Ф
Философия-и-религия
Б
Без категории
М
Мир-работы
Х
Хобби-и-рукоделие
И
Искусство-и-развлечения
В
Взаимоотношения
З
Здоровье
К
Кулинария-и-гостеприимство
Ф
Финансы-и-бизнес
П
Питомцы-и-животные
О
Образование
О
Образование-и-коммуникации
ЕгорКТ
ЕгорКТ
30.03.2022 10:39 •  Математика

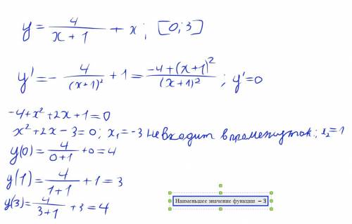
Найдите наименьшее значение функции: f(x)=(4/x+1)+x на промежутке [0; 3]. решение как можно по-подробней, .

👇
Ответ:
ramilienozxqke
ramilienozxqke
30.03.2022

*****************************************


Найдите наименьшее значение функции: f(x)=(4/x+1)+x на промежутке [0; 3]. решение как можно по-подро
4,6(54 оценок)
Ответ:
DendiYT
DendiYT
30.03.2022

Наименьшее - 3

Пошаговое объяснение:


Найдите наименьшее значение функции: f(x)=(4/x+1)+x на промежутке [0; 3]. решение как можно по-подро
4,4(33 оценок)
Открыть все ответы
Ответ:
paliy2006
paliy2006
30.03.2022

1) (0;2)

2) (0;-4)

3) (5;0)

4) (-3;0)

5) D(2;-2)

6) B,C,A,D

7) прямой

8) тупой

9) угол равен 180, отрезки AB и  BC лежат на одной прямой

10) острый, конечные точки лежат в 3 координатной четверти, средняя точка в 1 координатной четверти, значит меньше 90 градусов

Пошаговое объяснение:

в точке пересечения прямой одной из осей значение координаты другой оси будет нулевым, а значение координаты пересеченной оси будет в точке пересечения; пересекаем Х, значит У=0, а координата Х в точке пересечения оси Х; и наоборот, пересекаем У, значит Х=0, а координата У в точке пересечения оси У

4,4(35 оценок)
Ответ:
alinka57d
alinka57d
30.03.2022
Начнем с последних цифр. При умножении числа , оканчивающегося на 4, получается число, оканчивающееся на 4.
В этом случае 4 можно умножить или на 1, или на 6. При умножении на 1 получится то же самое число. У нас при умножении 4-значного числа на однозначное получилось пятизначное число. Значит, четырехзначное число умножается на 6.
2*74 х6= *54*4
При уиножении 74 х 6=444.
Тогда наш пример примет вид:2*74 х 6= *5444
При умножении  наименьшего четырехзначного числа, начинающегося на 2, на 6, получится 2000 х6=12000
При умножении наибольшего четырехзначного числа, начинающегося на 2, на 6, получится 2999 х6=17994.
Таким образом, первой цифрой пятизначного числа может быть только 1.
Имеем 2*74 х 6= 15444
Осталось найти последнюю неизвестную цифру в первом множителе.
15444 : 6=2574.
Наш пример таков: 2574*6=15444.
4,6(93 оценок)
Это интересно:
Новые ответы от MOGZ: Математика
logo
Вход Регистрация
Что ты хочешь узнать?
Спроси Mozg
Открыть лучший ответ